1. Вычислить данные криволинейные интегралы (1-4)
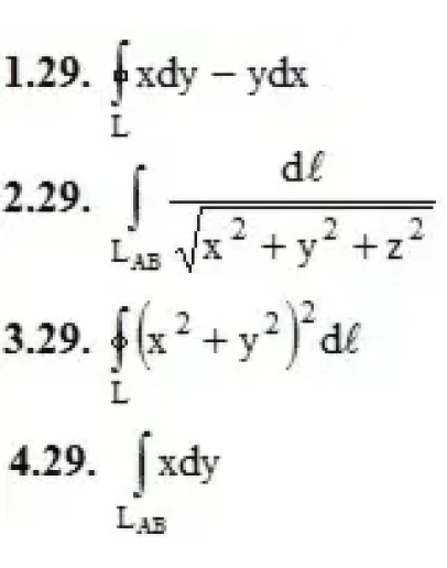
, где L – контур треугольника с вершинами A(–1, 0), B(1, 0), C(0, 1) при положительном направлении обхода.
, где LAB – отрезок прямой, соединяющий точки A(1, 1, 1) и B(2, 2, 2).
, где L – окружность x = 3cost, y = 3sint.
, где LAB – дуга правой полуокружности x2 + y2 = a2 от точки A(0, –a) до точки B(0, a).
, где L – контур треугольника с вершинами A(–1, 0), B(1, 0), C(0, 1) при положительном направлении обхода.
, где LAB – отрезок прямой, соединяющий точки A(1, 1, 1) и B(2, 2, 2).
, где L – окружность x = 3cost, y = 3sint.
, где LAB – дуга правой полуокружности x2 + y2 = a2 от точки A(0, –a) до точки B(0, a).




