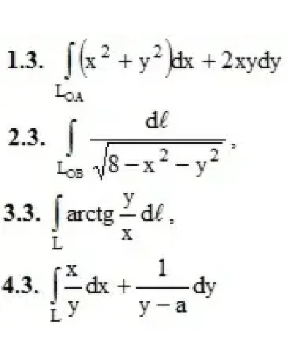
1. Вычислить данные криволинейные интегралы (1-4)
, где LOA – дуга кубической параболы y = x3 от точки O(0, 0) до точки A(1, 1).
, где LOB – отрезок прямой, соединяющий точки O(0, 0) и B(2, 2)
, где L – часть дуги спирали Архимеда ρ = 2φ, заключенная внутри круга радиусом R с центром в полюсе.
, где L – дуга циклоиды x = a(t – sint), y = a(1 – cost), π/6 ≤ t ≤ π/3
, где LOA – дуга кубической параболы y = x3 от точки O(0, 0) до точки A(1, 1).
, где LOB – отрезок прямой, соединяющий точки O(0, 0) и B(2, 2)
, где L – часть дуги спирали Архимеда ρ = 2φ, заключенная внутри круга радиусом R с центром в полюсе.
, где L – дуга циклоиды x = a(t – sint), y = a(1 – cost), π/6 ≤ t ≤ π/3




