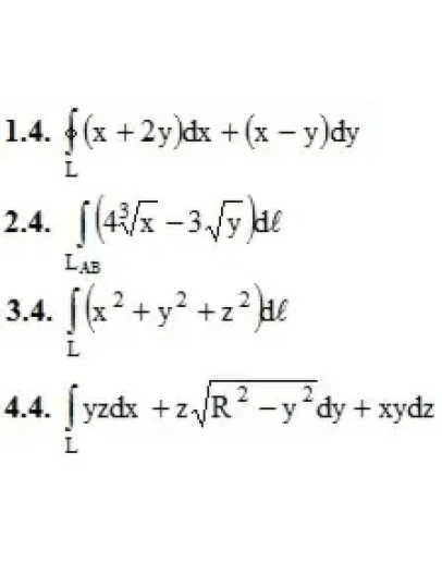
1. Вычислить данные криволинейные интегралы (1-4)
, где L – окружность x = 2cost, y = 2sint при положительном направлении обхода.
, где LAB – отрезок прямой AB; A(–1; 0); B(0; 1).
, где L – дуга кривой x = acost, y = asint, z = bt, 0 ≤ t ≤ 2π.
, где L – дуга кривой x = Rcost, y = Rsint, z = at/(2π), «пробегаемая» от точки пересечения ее с плоскостью z = 0 до точки пересечения ее с плоскостью z = a.
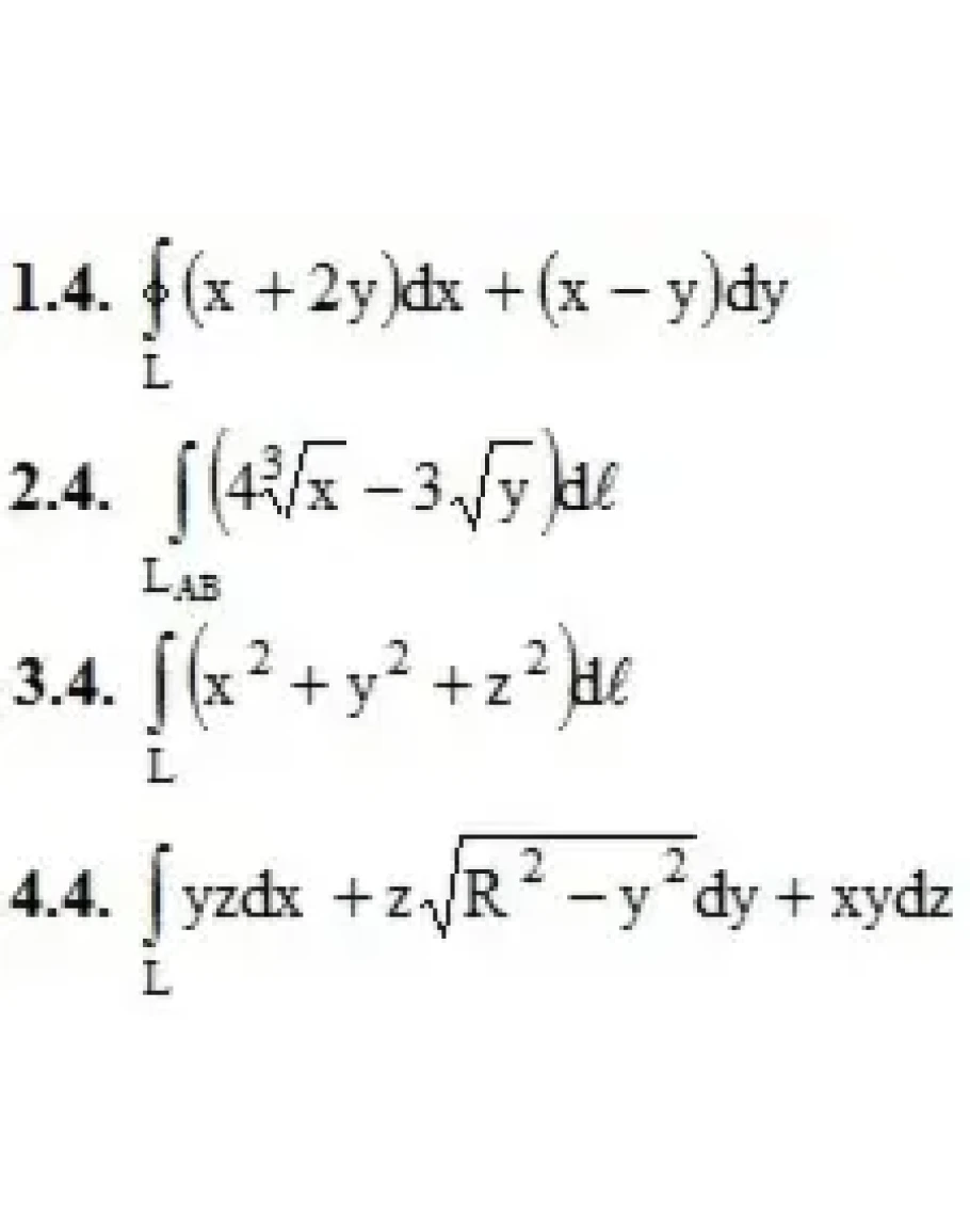
, где L – окружность x = 2cost, y = 2sint при положительном направлении обхода.
, где LAB – отрезок прямой AB; A(–1; 0); B(0; 1).
, где L – дуга кривой x = acost, y = asint, z = bt, 0 ≤ t ≤ 2π.
, где L – дуга кривой x = Rcost, y = Rsint, z = at/(2π), «пробегаемая» от точки пересечения ее с плоскостью z = 0 до точки пересечения ее с плоскостью z = a.




