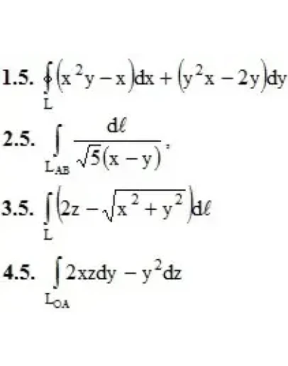
1. Вычислить данные криволинейные интегралы (1-4)
, где L – дуга эллипса x = 3cost, y = 2sint при положительном направлении обхода.
, где LAB – отрезок прямой, заключенный между точками A(0, 4) и B(4, 0)
, где L – первый виток конической винтовой линии x = tcost, y = tsint, z = t.
, где LOA – дуга параболы z = x2/4 от точки O(0, 0, 0) до точки A(2, 0, 1).
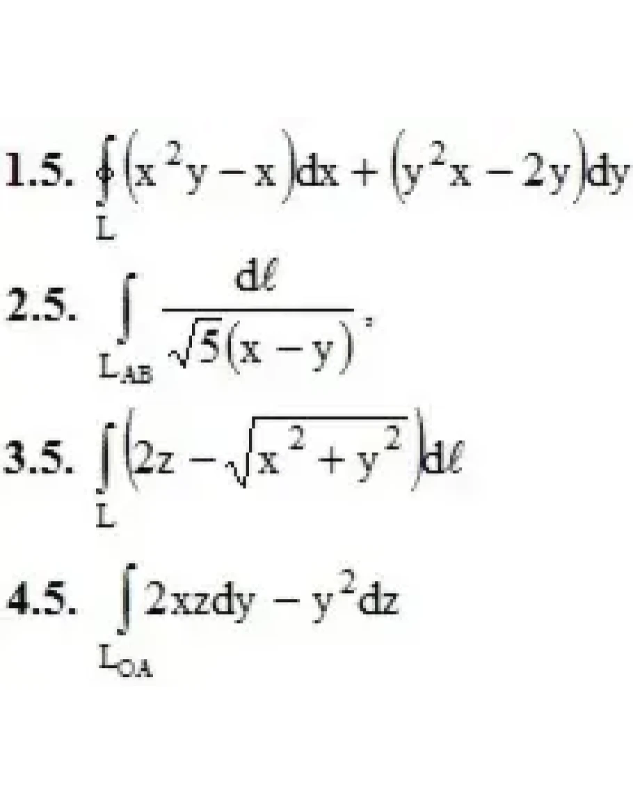
, где L – дуга эллипса x = 3cost, y = 2sint при положительном направлении обхода.
, где LAB – отрезок прямой, заключенный между точками A(0, 4) и B(4, 0)
, где L – первый виток конической винтовой линии x = tcost, y = tsint, z = t.
, где LOA – дуга параболы z = x2/4 от точки O(0, 0, 0) до точки A(2, 0, 1).




