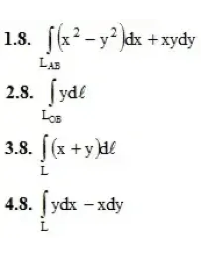
1. Вычислить данные криволинейные интегралы (1-4)
, где LAB – отрезок прямой AB, А(1, 1); B(3, 4).
, где LOB – дуга параболы y2 = 2/3x между точками O(0, 0) и B(√35/6, √35/3)
, где L – первый виток лемнискаты ρ2 = a2cos2φ.
, где L – четверть дуги окружности x = Rcost, y = Rsint, лежащая в первом квадранте и «пробегаемая» против хода часовой стрелки.
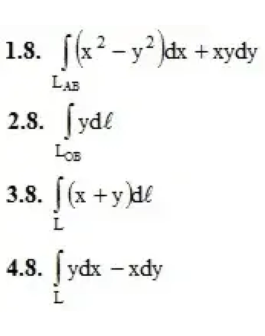
, где LAB – отрезок прямой AB, А(1, 1); B(3, 4).
, где LOB – дуга параболы y2 = 2/3x между точками O(0, 0) и B(√35/6, √35/3)
, где L – первый виток лемнискаты ρ2 = a2cos2φ.
, где L – четверть дуги окружности x = Rcost, y = Rsint, лежащая в первом квадранте и «пробегаемая» против хода часовой стрелки.




