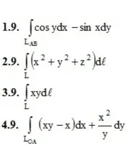
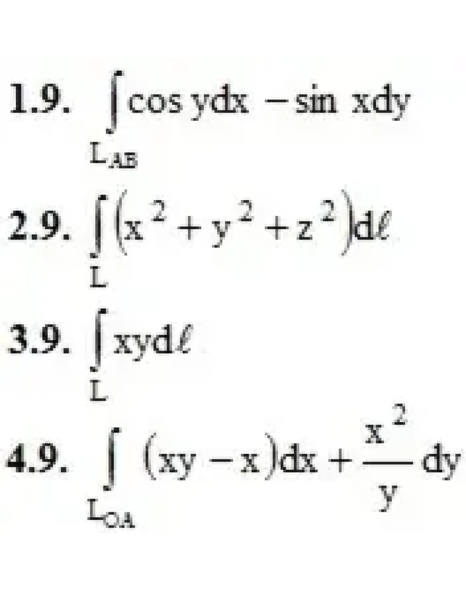
1. Вычислить данные криволинейные интегралы (1-4)
, где LAB – отрезок прямой AB, А(2π, –2π); B(–2π, 2π).
, где L – дуга кривой x = cost, y = sint, z = √3t, 0 ≤ t ≤ 2π
, где L – первая четверть эллипса x2/a2 + y2/b2 = 1
, где LOA – дуга параболы y = 2√x от точки O(0, 0) до точки A(1, 2).
, где LAB – отрезок прямой AB, А(2π, –2π); B(–2π, 2π).
, где L – дуга кривой x = cost, y = sint, z = √3t, 0 ≤ t ≤ 2π
, где L – первая четверть эллипса x2/a2 + y2/b2 = 1
, где LOA – дуга параболы y = 2√x от точки O(0, 0) до точки A(1, 2).




