1. Дана функция u(M) = u(x, y, z) и точки M1, M2. Вычислить: 1) производную этой функции в точке M1 по направлению вектора M1M2; 2) grad u(M1)
1.10. u(M) = 5x2yz – xy2z + yz2, M1(1, 1, 1), M2(9, –3, 9)
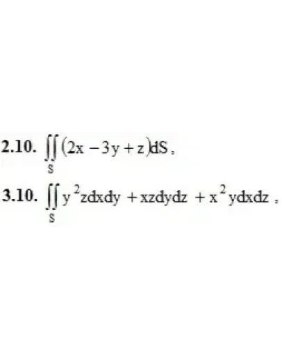
2. Вычислить поверхностный интеграл первого рода по поверхности S, где S – часть плоскости (p), отсеченная координатными плоскостями.
(p): x + 2y + z = 2
3. Вычислить поверхностный интеграл второго рода.
где S – часть поверхности параболоида z = x2 + y2 (нормальный вектор n которой образует тупой угол с ортом k), вырезаемая цилиндром x2 + y2 = 1.
4. Вычислить поток векторного поля a(M) через внешнюю поверхность пирамиды, образуемую плоскостью (p) и координатными плоскостями, двумя способами: а) использовав определение потока; б) с помощью формулы Остроградского – Гаусса.
4.10. а(M) = (x + y – z)i – 2yj + (x + 2z)k, (p): x + 2y + z = 2
1.10. u(M) = 5x2yz – xy2z + yz2, M1(1, 1, 1), M2(9, –3, 9)
2. Вычислить поверхностный интеграл первого рода по поверхности S, где S – часть плоскости (p), отсеченная координатными плоскостями.
(p): x + 2y + z = 2
3. Вычислить поверхностный интеграл второго рода.
где S – часть поверхности параболоида z = x2 + y2 (нормальный вектор n которой образует тупой угол с ортом k), вырезаемая цилиндром x2 + y2 = 1.
4. Вычислить поток векторного поля a(M) через внешнюю поверхность пирамиды, образуемую плоскостью (p) и координатными плоскостями, двумя способами: а) использовав определение потока; б) с помощью формулы Остроградского – Гаусса.
4.10. а(M) = (x + y – z)i – 2yj + (x + 2z)k, (p): x + 2y + z = 2




