1. Дана функция u(M) = u(x, y, z) и точки M1, M2. Вычислить: 1) производную этой функции в точке M1 по направлению вектора M1M2; 2) grad u(M1)
1.11. u(M) = x/(x2 + y2 + z2), M1(1, 2, 2), M2(–3, 2, –1)
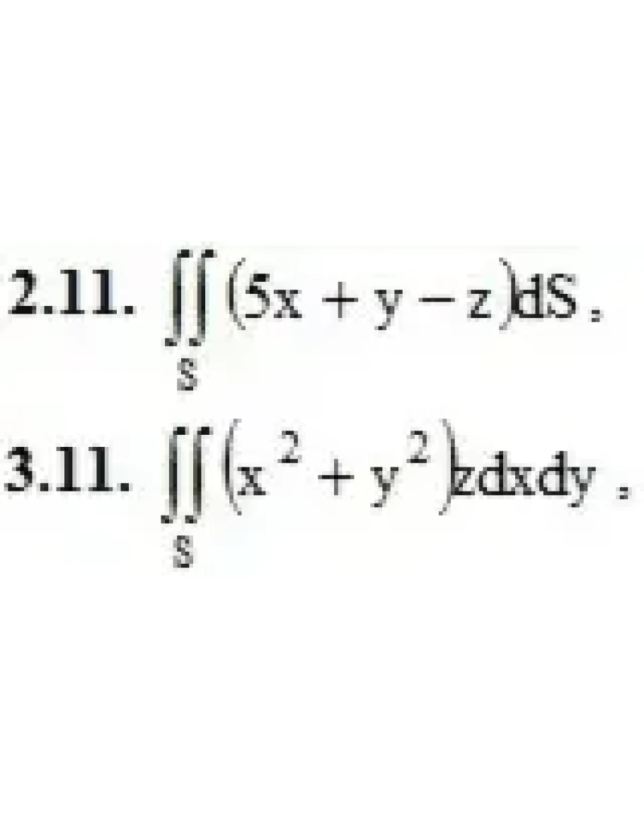
2. Вычислить поверхностный интеграл первого рода по поверхности S, где S – часть плоскости (p), отсеченная координатными плоскостями.
(p): x + 2y + 2z = 2
3. Вычислить поверхностный интеграл второго рода.
где S – внешняя сторона нижней половины сферы x2 + y2 + z2 = 9.
4. Вычислить поток векторного поля a(M) через внешнюю поверхность пирамиды, образуемую плоскостью (p) и координатными плоскостями, двумя способами: а) использовав определение потока; б) с помощью формулы Остроградского – Гаусса.
4.11. а(M) = (y – z)i + (2x + y)j + zk, (p): 2x + y + z = 2
1.11. u(M) = x/(x2 + y2 + z2), M1(1, 2, 2), M2(–3, 2, –1)
2. Вычислить поверхностный интеграл первого рода по поверхности S, где S – часть плоскости (p), отсеченная координатными плоскостями.
(p): x + 2y + 2z = 2
3. Вычислить поверхностный интеграл второго рода.
где S – внешняя сторона нижней половины сферы x2 + y2 + z2 = 9.
4. Вычислить поток векторного поля a(M) через внешнюю поверхность пирамиды, образуемую плоскостью (p) и координатными плоскостями, двумя способами: а) использовав определение потока; б) с помощью формулы Остроградского – Гаусса.
4.11. а(M) = (y – z)i + (2x + y)j + zk, (p): 2x + y + z = 2




