1. Дана функция u(M) = u(x, y, z) и точки M1, M2. Вычислить: 1) производную этой функции в точке M1 по направлению вектора M1M2; 2) grad u(M1)
1.17. u(M) = x – 2y + ez, M1(–4, –5, 0), M2(2, 3, 4)
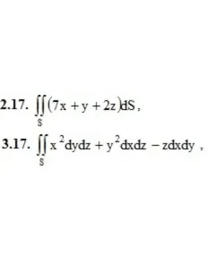
2. Вычислить поверхностный интеграл первого рода по поверхности S, где S – часть плоскости (p), отсеченная координатными плоскостями.
(p): 3x – 2y + 2z = 6
3. Вычислить поверхностный интеграл второго рода.
где S – часть поверхности конуса z2 = x2 + y2 (нормальный вектор n которой образует острый угол с ортом k), отсекаемая плоскостями z = 0 и z = 3.
4. Вычислить поток векторного поля a(M) через внешнюю поверхность пирамиды, образуемую плоскостью (p) и координатными плоскостями, двумя способами: а) использовав определение потока; б) с помощью формулы Остроградского – Гаусса.
4.17. а(M) = (x + y)i + (y + z)j + 2(z + x)k, (p): 3x – 2y + 2z = 6
1.17. u(M) = x – 2y + ez, M1(–4, –5, 0), M2(2, 3, 4)
2. Вычислить поверхностный интеграл первого рода по поверхности S, где S – часть плоскости (p), отсеченная координатными плоскостями.
(p): 3x – 2y + 2z = 6
3. Вычислить поверхностный интеграл второго рода.
где S – часть поверхности конуса z2 = x2 + y2 (нормальный вектор n которой образует острый угол с ортом k), отсекаемая плоскостями z = 0 и z = 3.
4. Вычислить поток векторного поля a(M) через внешнюю поверхность пирамиды, образуемую плоскостью (p) и координатными плоскостями, двумя способами: а) использовав определение потока; б) с помощью формулы Остроградского – Гаусса.
4.17. а(M) = (x + y)i + (y + z)j + 2(z + x)k, (p): 3x – 2y + 2z = 6




