1. Дана функция u(M) = u(x, y, z) и точки M1, M2. Вычислить: 1) производную этой функции в точке M1 по направлению вектора M1M2; 2) grad u(M1)
1.18. u(M) = xy – 3xyz, M1(2, 2, –4), M2(1, 0, –3)
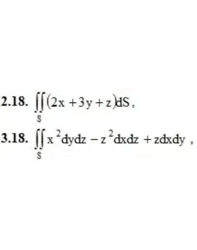
2. Вычислить поверхностный интеграл первого рода по поверхности S, где S – часть плоскости (p), отсеченная координатными плоскостями.
(p): 2x + 3y + z = 6
3. Вычислить поверхностный интеграл второго рода.
где S – часть поверхности параболоида z = 3 – x2 – y2 (нормальный вектор n которой образует острый угол с ортом k), отсекаемая плоскостью z = 0.
4. Вычислить поток векторного поля a(M) через внешнюю поверхность пирамиды, образуемую плоскостью (p) и координатными плоскостями, двумя способами: а) использовав определение потока; б) с помощью формулы Остроградского – Гаусса.
4.18. а(M) = (x + y + z)i + 2zj + (y – 7z)k, (p): 2x + 3y + z = 6
1.18. u(M) = xy – 3xyz, M1(2, 2, –4), M2(1, 0, –3)
2. Вычислить поверхностный интеграл первого рода по поверхности S, где S – часть плоскости (p), отсеченная координатными плоскостями.
(p): 2x + 3y + z = 6
3. Вычислить поверхностный интеграл второго рода.
где S – часть поверхности параболоида z = 3 – x2 – y2 (нормальный вектор n которой образует острый угол с ортом k), отсекаемая плоскостью z = 0.
4. Вычислить поток векторного поля a(M) через внешнюю поверхность пирамиды, образуемую плоскостью (p) и координатными плоскостями, двумя способами: а) использовав определение потока; б) с помощью формулы Остроградского – Гаусса.
4.18. а(M) = (x + y + z)i + 2zj + (y – 7z)k, (p): 2x + 3y + z = 6




