1. Дана функция u(M) = u(x, y, z) и точки M1, M2. Вычислить: 1) производную этой функции в точке M1 по направлению вектора M1M2; 2) grad u(M1)
1.19. u(M) = 3x2yz3, M1(–2, –3, 1), M2(5, –2, 0)
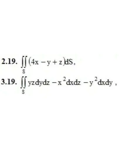
2. Вычислить поверхностный интеграл первого рода по поверхности S, где S – часть плоскости (p), отсеченная координатными плоскостями.
(p): x – y + z = 2
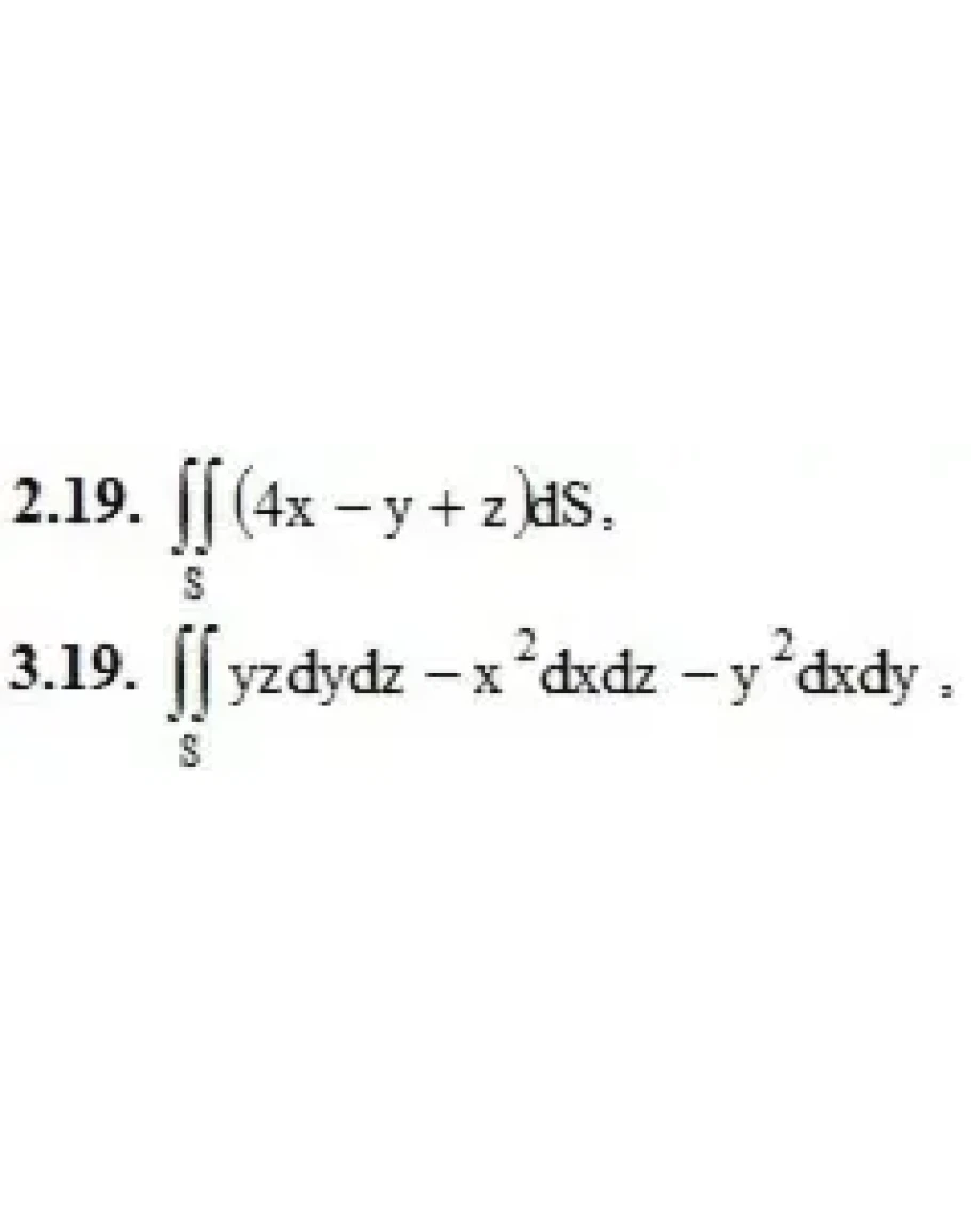
3. Вычислить поверхностный интеграл второго рода.
где S – часть поверхности конуса x2 + z2 = y2 (нормальный вектор n которой образует тупой угол с ортом j), отсекаемая плоскостями y = 0, y = 1.
4. Вычислить поток векторного поля a(M) через внешнюю поверхность пирамиды, образуемую плоскостью (p) и координатными плоскостями, двумя способами: а) использовав определение потока; б) с помощью формулы Остроградского – Гаусса.
4.19. а(M) = (2x – z)i + (y – x)j + (x + 2z)k, (p): x – y + z = 2
1.19. u(M) = 3x2yz3, M1(–2, –3, 1), M2(5, –2, 0)
2. Вычислить поверхностный интеграл первого рода по поверхности S, где S – часть плоскости (p), отсеченная координатными плоскостями.
(p): x – y + z = 2
3. Вычислить поверхностный интеграл второго рода.
где S – часть поверхности конуса x2 + z2 = y2 (нормальный вектор n которой образует тупой угол с ортом j), отсекаемая плоскостями y = 0, y = 1.
4. Вычислить поток векторного поля a(M) через внешнюю поверхность пирамиды, образуемую плоскостью (p) и координатными плоскостями, двумя способами: а) использовав определение потока; б) с помощью формулы Остроградского – Гаусса.
4.19. а(M) = (2x – z)i + (y – x)j + (x + 2z)k, (p): x – y + z = 2




