1. Дана функция u(M) = u(x, y, z) и точки M1, M2. Вычислить: 1) производную этой функции в точке M1 по направлению вектора M1M2; 2) grad u(M1)
1.21. u(M) = xyz, M1(3, 1, 4), M2(1, –1, –1)
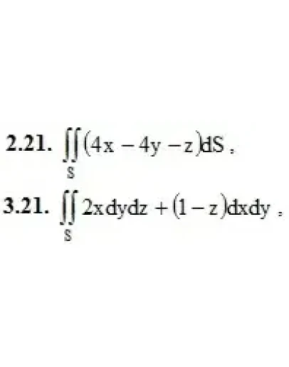
2. Вычислить поверхностный интеграл первого рода по поверхности S, где S – часть плоскости (p), отсеченная координатными плоскостями.
(p): x + 2y + 2z = 4
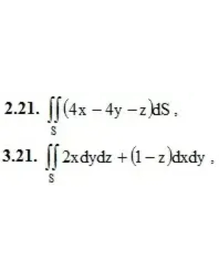
3. Вычислить поверхностный интеграл второго рода.
где S – внутренняя сторона цилиндра x2 + y2 = 4, отсекаемая плоскостями z = 0 и z = 1
4. Вычислить поток векторного поля a(M) через внешнюю поверхность пирамиды, образуемую плоскостью (p) и координатными плоскостями, двумя способами: а) использовав определение потока; б) с помощью формулы Остроградского – Гаусса.
4.21. а(M) = (2z – x)i + (x – y)j + (3x + z)k, (p): x + y + 2z = 2
1.21. u(M) = xyz, M1(3, 1, 4), M2(1, –1, –1)
2. Вычислить поверхностный интеграл первого рода по поверхности S, где S – часть плоскости (p), отсеченная координатными плоскостями.
(p): x + 2y + 2z = 4
3. Вычислить поверхностный интеграл второго рода.
где S – внутренняя сторона цилиндра x2 + y2 = 4, отсекаемая плоскостями z = 0 и z = 1
4. Вычислить поток векторного поля a(M) через внешнюю поверхность пирамиды, образуемую плоскостью (p) и координатными плоскостями, двумя способами: а) использовав определение потока; б) с помощью формулы Остроградского – Гаусса.
4.21. а(M) = (2z – x)i + (x – y)j + (3x + z)k, (p): x + y + 2z = 2




