1. Дана функция u(M) = u(x, y, z) и точки M1, M2. Вычислить: 1) производную этой функции в точке M1 по направлению вектора M1M2; 2) grad u(M1)
1.24. u(M) = x2y + y2z – 3z, M1(0, –2, –1), M2(12, –5, 0)
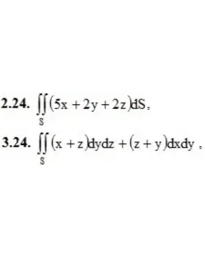
2. Вычислить поверхностный интеграл первого рода по поверхности S, где S – часть плоскости (p), отсеченная координатными плоскостями.
(p): x + 2y + z = 2
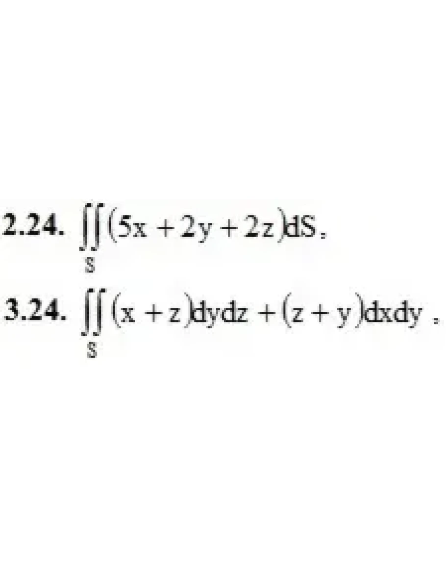
3. Вычислить поверхностный интеграл второго рода.
где S – внешняя сторона цилиндра x2 + y2 = 1, отсекаемая плоскостями z = 0 и z = 2
4. Вычислить поток векторного поля a(M) через внешнюю поверхность пирамиды, образуемую плоскостью (p) и координатными плоскостями, двумя способами: а) использовав определение потока; б) с помощью формулы Остроградского – Гаусса.
4.24. а(M) = (3x + y)i + (x + z)j + yk, (p): x + 2y + z = 2
1.24. u(M) = x2y + y2z – 3z, M1(0, –2, –1), M2(12, –5, 0)
2. Вычислить поверхностный интеграл первого рода по поверхности S, где S – часть плоскости (p), отсеченная координатными плоскостями.
(p): x + 2y + z = 2
3. Вычислить поверхностный интеграл второго рода.
где S – внешняя сторона цилиндра x2 + y2 = 1, отсекаемая плоскостями z = 0 и z = 2
4. Вычислить поток векторного поля a(M) через внешнюю поверхность пирамиды, образуемую плоскостью (p) и координатными плоскостями, двумя способами: а) использовав определение потока; б) с помощью формулы Остроградского – Гаусса.
4.24. а(M) = (3x + y)i + (x + z)j + yk, (p): x + 2y + z = 2




