1. Дана функция u(M) = u(x, y, z) и точки M1, M2. Вычислить: 1) производную этой функции в точке M1 по направлению вектора M1M2; 2) grad u(M1)
1.27. u(M) = x/y + y/z – z/x, M1(–1, 1, 1), M2(2, 3, 4)
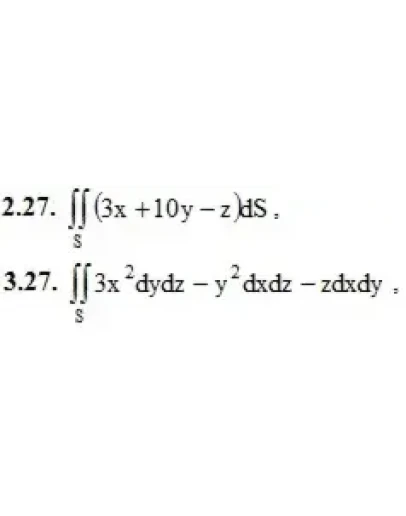
2. Вычислить поверхностный интеграл первого рода по поверхности S, где S – часть плоскости (p), отсеченная координатными плоскостями.
(p): x + 3y + 2z = 6
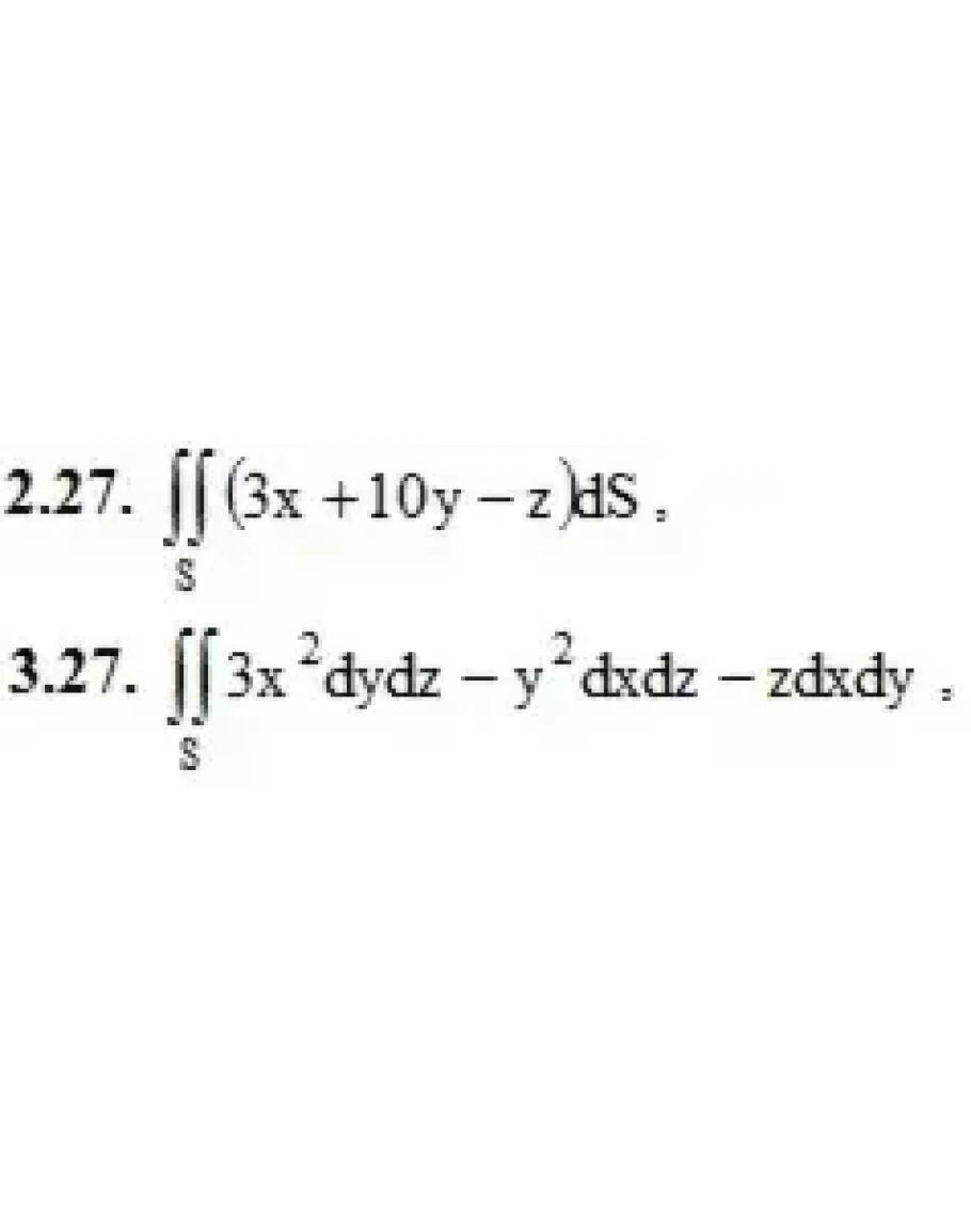
3. Вычислить поверхностный интеграл второго рода.
где S – часть поверхности параболоида 1 – z = x2 + y2 (нормальный вектор n которой образует острый угол с ортом k)
4. Вычислить поток векторного поля a(M) через внешнюю поверхность пирамиды, образуемую плоскостью (p) и координатными плоскостями, двумя способами: а) использовав определение потока; б) с помощью формулы Остроградского – Гаусса.
4.27. а(M) = (2y – z)i + (x + 2y)j + yk, (p): x + 3y + 2z = 6
1.27. u(M) = x/y + y/z – z/x, M1(–1, 1, 1), M2(2, 3, 4)
2. Вычислить поверхностный интеграл первого рода по поверхности S, где S – часть плоскости (p), отсеченная координатными плоскостями.
(p): x + 3y + 2z = 6
3. Вычислить поверхностный интеграл второго рода.
где S – часть поверхности параболоида 1 – z = x2 + y2 (нормальный вектор n которой образует острый угол с ортом k)
4. Вычислить поток векторного поля a(M) через внешнюю поверхность пирамиды, образуемую плоскостью (p) и координатными плоскостями, двумя способами: а) использовав определение потока; б) с помощью формулы Остроградского – Гаусса.
4.27. а(M) = (2y – z)i + (x + 2y)j + yk, (p): x + 3y + 2z = 6




