1. Дана функция u(M) = u(x, y, z) и точки M1, M2. Вычислить: 1) производную этой функции в точке M1 по направлению вектора M1M2; 2) grad u(M1)
1.5. u(M) = ln(xy + yz + xz), M1(−2, 3, −1), M2(2, 1, −3)
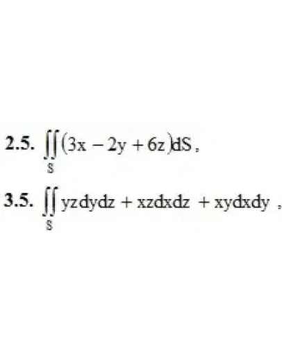
2. Вычислить поверхностный интеграл первого рода по поверхности S, где S – часть плоскости (p), отсеченная координатными плоскостями.
(p): 2x + y + 2z = 2
3. Вычислить поверхностный интеграл второго рода.
где S – верхняя сторона плоскости x + y + z = 4, отсеченной координатными плоскостями
4. Вычислить поток векторного поля a(M) через внешнюю поверхность пирамиды, образуемую плоскостью (p) и координатными плоскостями, двумя способами: а) использовав определение потока; б) с помощью формулы Остроградского – Гаусса.
4.5. а(M) = (y + 2z)i + (x + 2z)j + (x – 2y)k, (p): 2x + y + 2z = 2
1.5. u(M) = ln(xy + yz + xz), M1(−2, 3, −1), M2(2, 1, −3)
2. Вычислить поверхностный интеграл первого рода по поверхности S, где S – часть плоскости (p), отсеченная координатными плоскостями.
(p): 2x + y + 2z = 2
3. Вычислить поверхностный интеграл второго рода.
где S – верхняя сторона плоскости x + y + z = 4, отсеченной координатными плоскостями
4. Вычислить поток векторного поля a(M) через внешнюю поверхность пирамиды, образуемую плоскостью (p) и координатными плоскостями, двумя способами: а) использовав определение потока; б) с помощью формулы Остроградского – Гаусса.
4.5. а(M) = (y + 2z)i + (x + 2z)j + (x – 2y)k, (p): 2x + y + 2z = 2




