1. Дана функция u(M) = u(x, y, z) и точки M1, M2. Вычислить: 1) производную этой функции в точке M1 по направлению вектора M1M2; 2) grad u(M1)
1.7. u(M) = x2y + xz2 – 2, M1(1, 1, –1), M2(2, –1, 3)
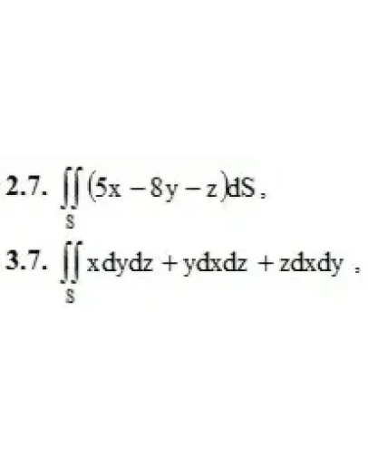
2. Вычислить поверхностный интеграл первого рода по поверхности S, где S – часть плоскости (p), отсеченная координатными плоскостями.
(p): 2x – 3y + z = 6
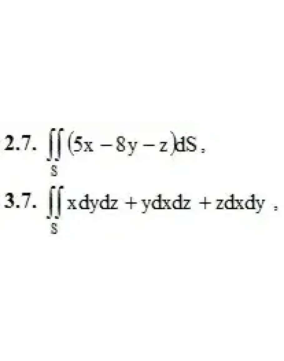
3. Вычислить поверхностный интеграл второго рода.
где S – внешняя сторона сферы x2 + y2 + z2 = 1
4. Вычислить поток векторного поля a(M) через внешнюю поверхность пирамиды, образуемую плоскостью (p) и координатными плоскостями, двумя способами: а) использовав определение потока; б) с помощью формулы Остроградского – Гаусса.
4.7. а(M) = (3x – y)i + (2y + z)j + (2z – x)k, (p): 2x – 3y + z = 6
1.7. u(M) = x2y + xz2 – 2, M1(1, 1, –1), M2(2, –1, 3)
2. Вычислить поверхностный интеграл первого рода по поверхности S, где S – часть плоскости (p), отсеченная координатными плоскостями.
(p): 2x – 3y + z = 6
3. Вычислить поверхностный интеграл второго рода.
где S – внешняя сторона сферы x2 + y2 + z2 = 1
4. Вычислить поток векторного поля a(M) через внешнюю поверхность пирамиды, образуемую плоскостью (p) и координатными плоскостями, двумя способами: а) использовав определение потока; б) с помощью формулы Остроградского – Гаусса.
4.7. а(M) = (3x – y)i + (2y + z)j + (2z – x)k, (p): 2x – 3y + z = 6




