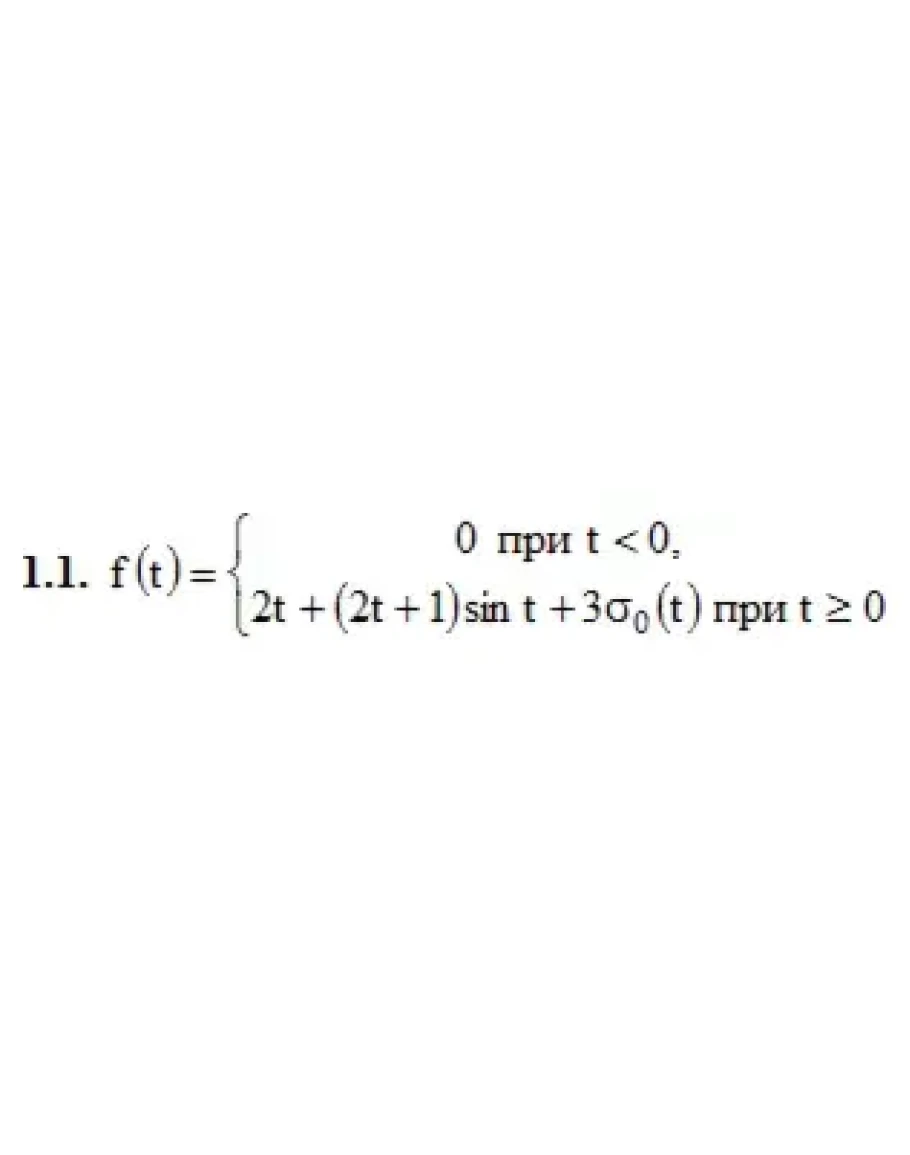
1. По заданному оригиналу найти изображение по Лапласу:
Значения параметров α, ω, Mi (i = 0, 1, 2, 3), A, B, C, D, E, F, G приведены в табл. 16.1
1.1. α = 0, ω = 1, M0 = 0, M1 = 2, M2 = 0, M3 = 0, A = 2, B = 1, C = 0, D = 0, E = 3, F = 0, G = 0
2. Найти изображение функции
Функции f1(t), f2(t) и числовые значения параметров t1, t2 приведены в табл. 16.2.
2.1. f1(t) = t, f2(t) = 2 − t, t1 = 1, t2 = 2
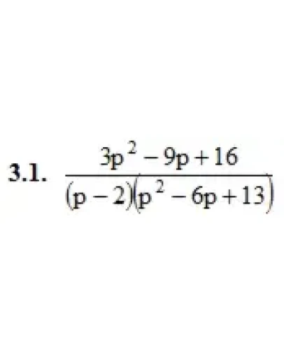
3. По заданному изображению
найти оригинал. Значения коэффициентов A, B, C, a, b, c приведены в табл. 16.3.
3.1. A = 3, B = −9, C = 16, a = −2, b = −6, c = 13.
Значения параметров α, ω, Mi (i = 0, 1, 2, 3), A, B, C, D, E, F, G приведены в табл. 16.1
1.1. α = 0, ω = 1, M0 = 0, M1 = 2, M2 = 0, M3 = 0, A = 2, B = 1, C = 0, D = 0, E = 3, F = 0, G = 0
2. Найти изображение функции
Функции f1(t), f2(t) и числовые значения параметров t1, t2 приведены в табл. 16.2.
2.1. f1(t) = t, f2(t) = 2 − t, t1 = 1, t2 = 2
3. По заданному изображению
найти оригинал. Значения коэффициентов A, B, C, a, b, c приведены в табл. 16.3.
3.1. A = 3, B = −9, C = 16, a = −2, b = −6, c = 13.






