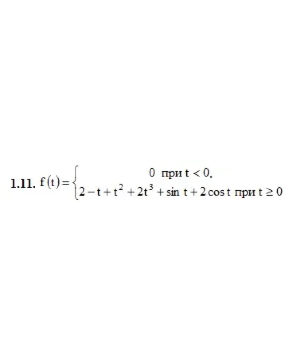
1. По заданному оригиналу найти изображение по Лапласу:
Значения параметров α, ω, Mi (i = 0, 1, 2, 3), A, B, C, D, E, F, G приведены в табл. 16.1
1.11. α = 0, ω = 1, M0 = 2, M1 = −1, M2 = 1, M3 = 2, A = 0, B = 1, C = 0, D = 2, E = 0, F = 0, G = 0
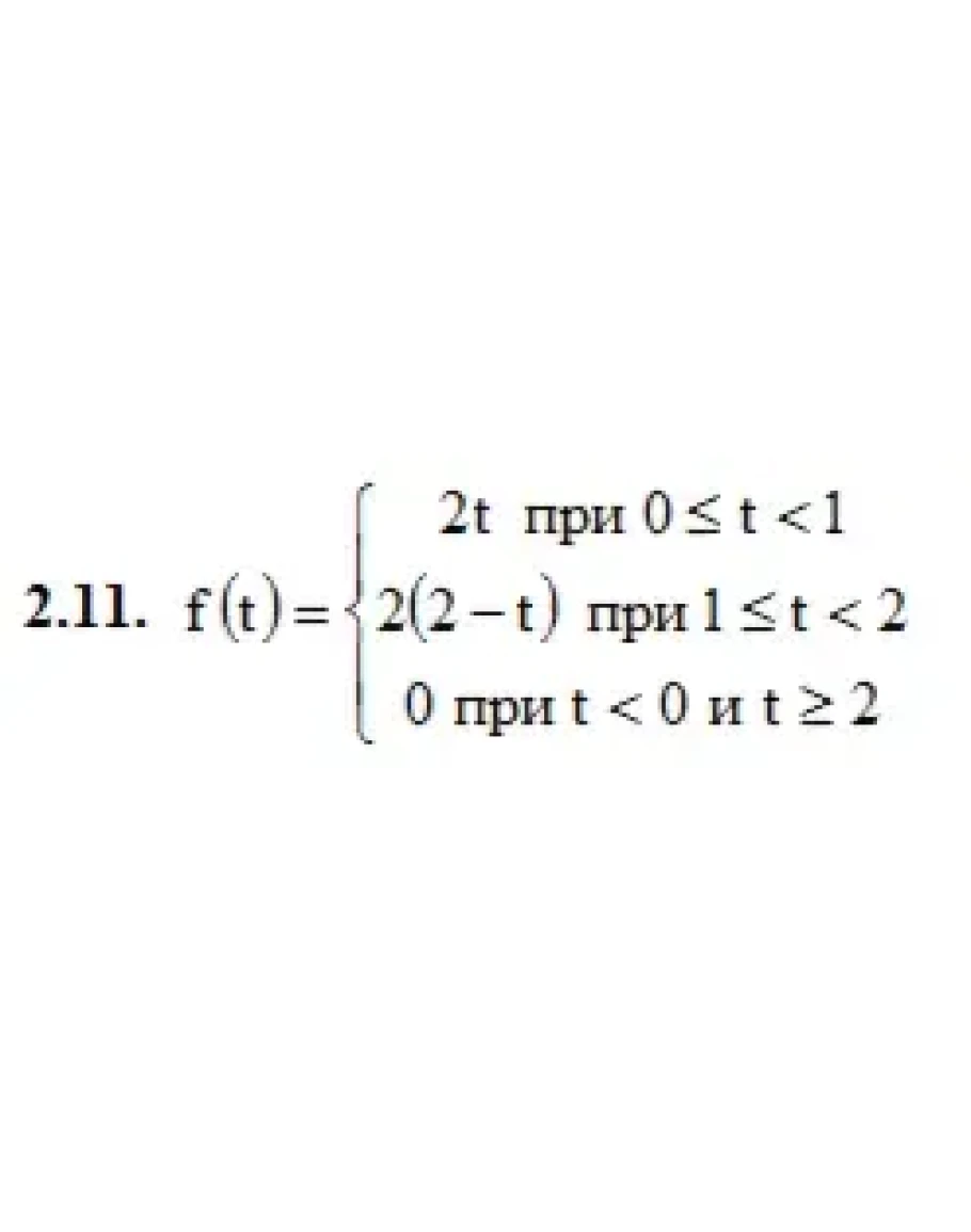
2. Найти изображение функции
Функции f1(t), f2(t) и числовые значения параметров t1, t2 приведены в табл. 16.2.
2.11. f1(t) = 2t, f2(t) = 2(2−t), t1 = 1, t2 = 2
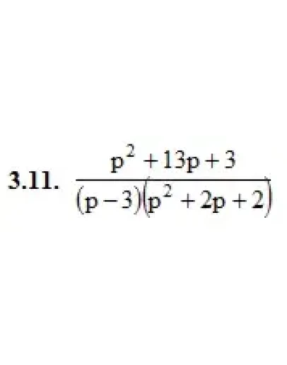
3. По заданному изображению
найти оригинал. Значения коэффициентов A, B, C, a, b, c приведены в табл. 16.3.
3.11. A = 1, B = 13, C = 3, a = −3, b = 2, c = 2.
Значения параметров α, ω, Mi (i = 0, 1, 2, 3), A, B, C, D, E, F, G приведены в табл. 16.1
1.11. α = 0, ω = 1, M0 = 2, M1 = −1, M2 = 1, M3 = 2, A = 0, B = 1, C = 0, D = 2, E = 0, F = 0, G = 0
2. Найти изображение функции
Функции f1(t), f2(t) и числовые значения параметров t1, t2 приведены в табл. 16.2.
2.11. f1(t) = 2t, f2(t) = 2(2−t), t1 = 1, t2 = 2
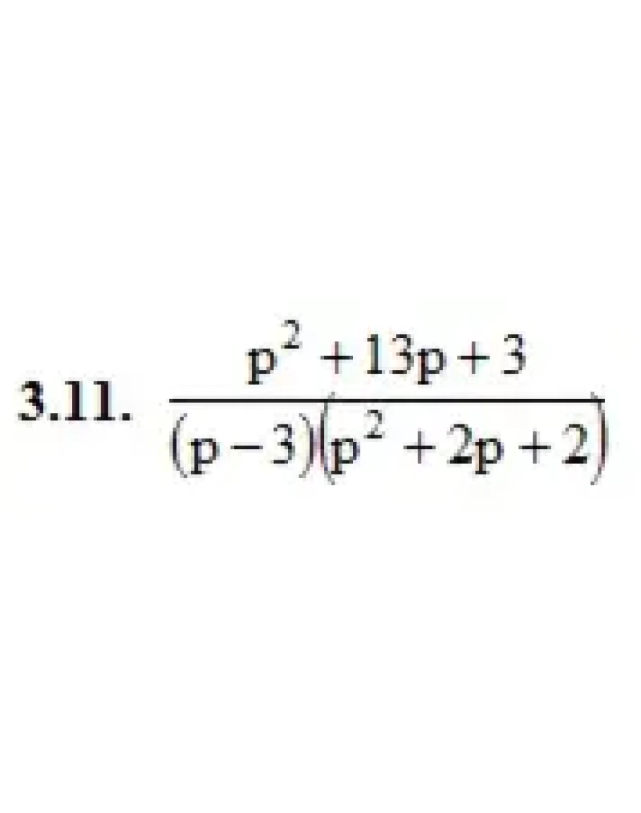
3. По заданному изображению
найти оригинал. Значения коэффициентов A, B, C, a, b, c приведены в табл. 16.3.
3.11. A = 1, B = 13, C = 3, a = −3, b = 2, c = 2.






