1. По заданному оригиналу найти изображение по Лапласу:
Значения параметров α, ω, Mi (i = 0, 1, 2, 3), A, B, C, D, E, F, G приведены в табл. 16.1
1.12. α = 2, ω = 0, M0 = 1, M1 = 0, M2 = 0, M3 = 1, A = 0, B = 0, C = 2, D = 1, E = 0, F = 3, G = 0
2. Найти изображение функции
Функции f1(t), f2(t) и числовые значения параметров t1, t2 приведены в табл. 16.2.
2.12. f1(t) = sint, f2(t) = cost, t1 = π/2, t2 = π
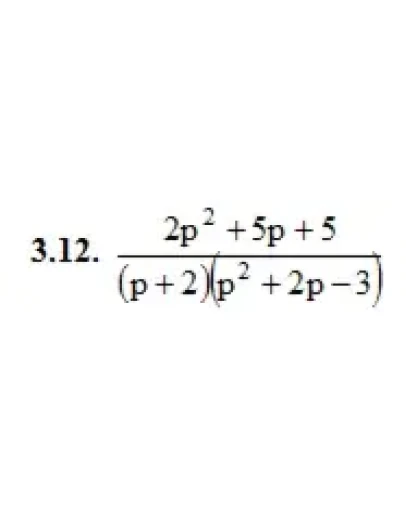
3. По заданному изображению
найти оригинал. Значения коэффициентов A, B, C, a, b, c приведены в табл. 16.3.
3.12. A = 2, B = 5, C = 5, a = 2, b = 2, c = −3.
Значения параметров α, ω, Mi (i = 0, 1, 2, 3), A, B, C, D, E, F, G приведены в табл. 16.1
1.12. α = 2, ω = 0, M0 = 1, M1 = 0, M2 = 0, M3 = 1, A = 0, B = 0, C = 2, D = 1, E = 0, F = 3, G = 0
2. Найти изображение функции
Функции f1(t), f2(t) и числовые значения параметров t1, t2 приведены в табл. 16.2.
2.12. f1(t) = sint, f2(t) = cost, t1 = π/2, t2 = π
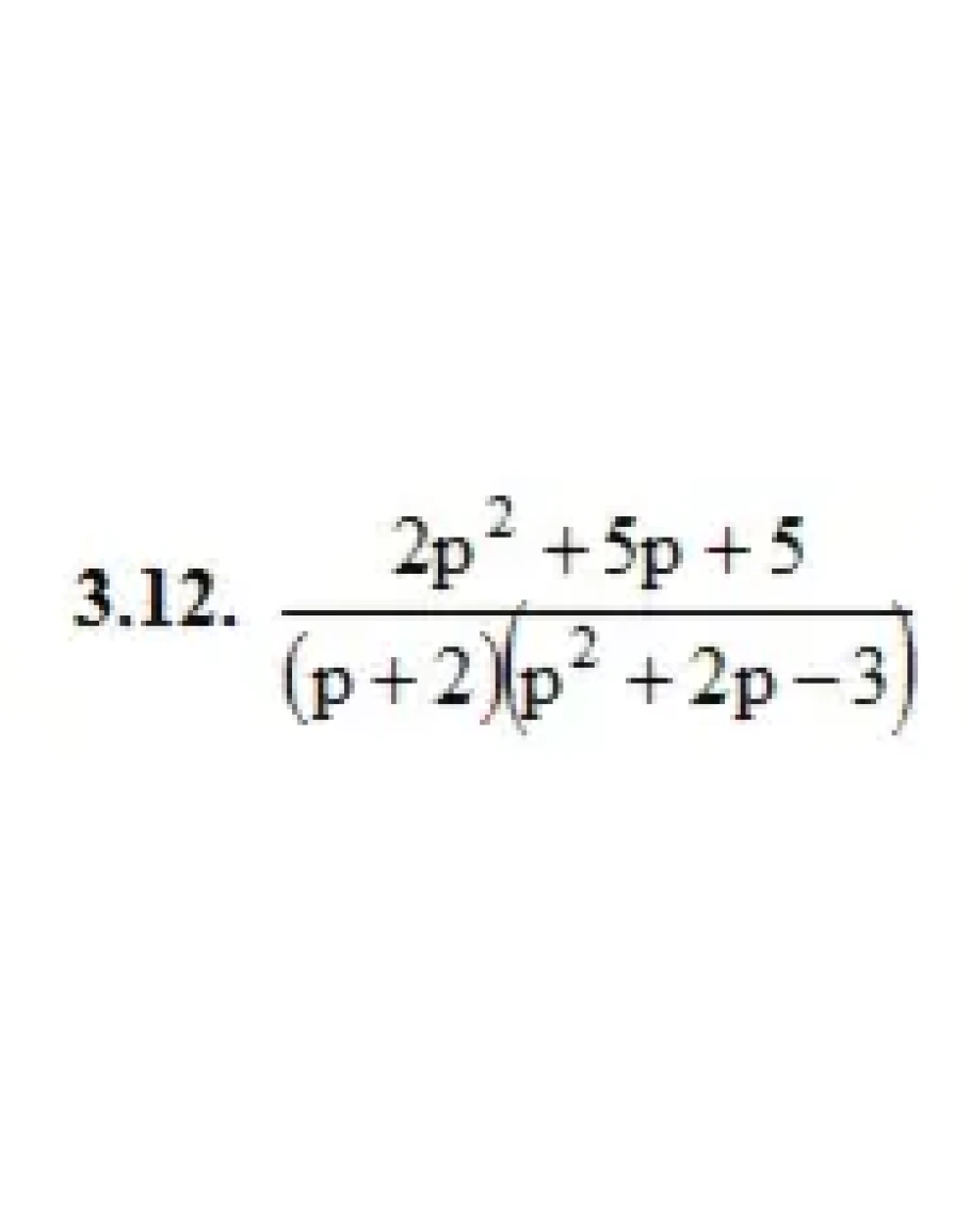
3. По заданному изображению
найти оригинал. Значения коэффициентов A, B, C, a, b, c приведены в табл. 16.3.
3.12. A = 2, B = 5, C = 5, a = 2, b = 2, c = −3.






