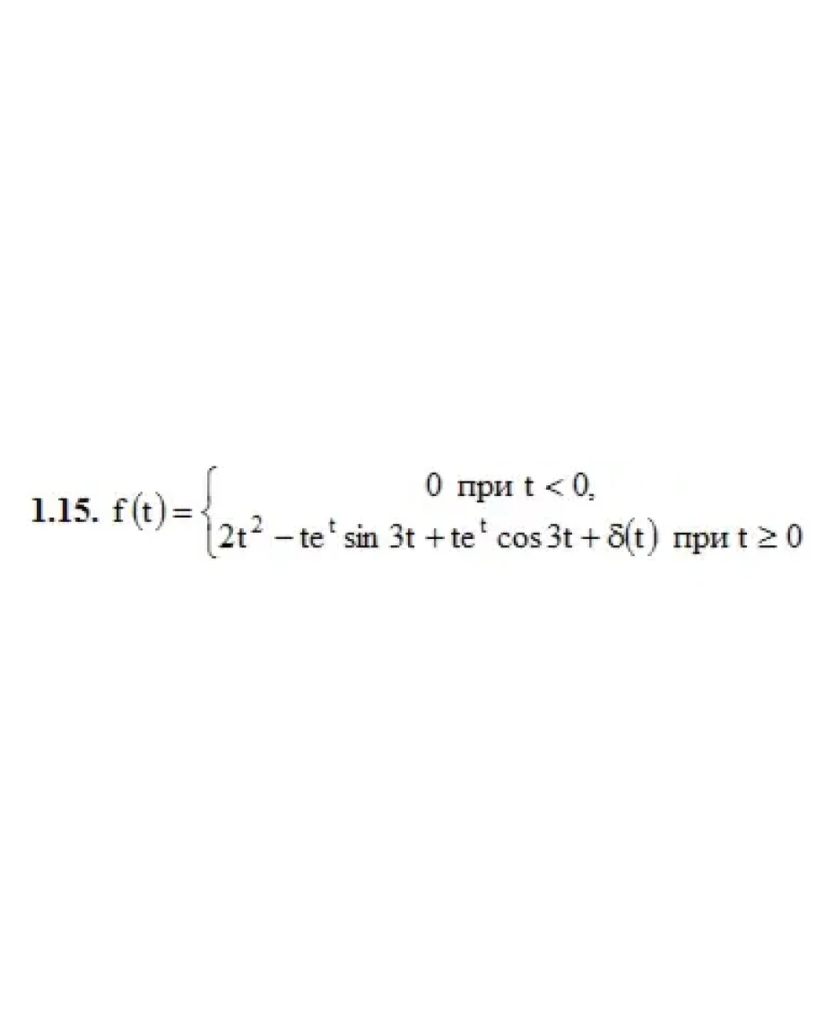
1. По заданному оригиналу найти изображение по Лапласу:
Значения параметров α, ω, Mi (i = 0, 1, 2, 3), A, B, C, D, E, F, G приведены в табл. 16.1
1.15. α = 1, ω = 3, M0 = 0, M1 = 0, M2 = 2, M3 = 0, A = −1, B = 0, C = 1, D = 0, E = 0, F = 1, G = 0
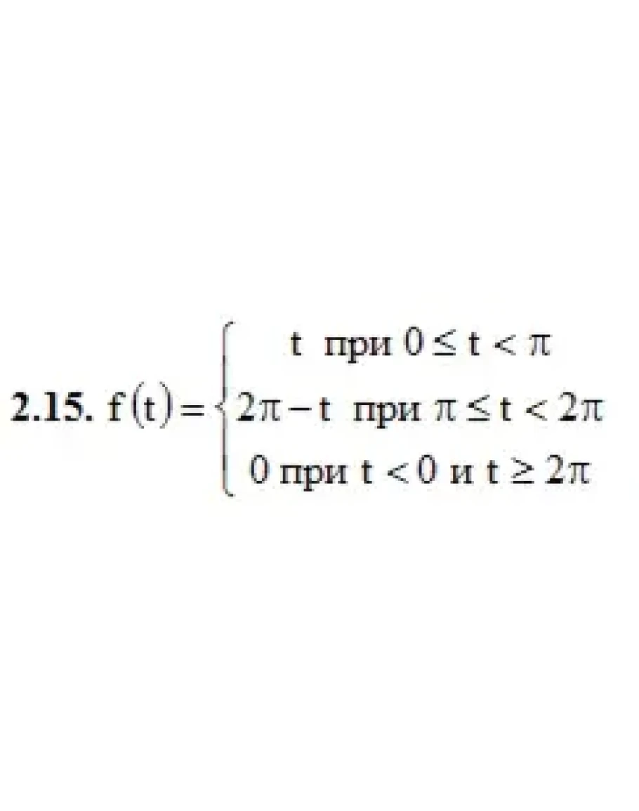
2. Найти изображение функции
Функции f1(t), f2(t) и числовые значения параметров t1, t2 приведены в табл. 16.2.
2.15. f1(t) = t, f2(t) = 2π − t, t1 = π, t2 = 2π
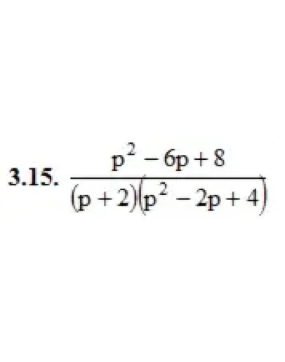
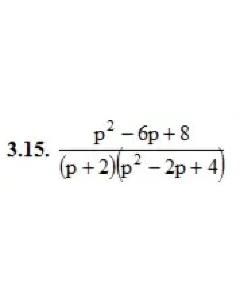
3. По заданному изображению
найти оригинал. Значения коэффициентов A, B, C, a, b, c приведены в табл. 16.3.
3.15. A = 1, B = −6, C = 8, a = 2, b = −2, c = 4.
Значения параметров α, ω, Mi (i = 0, 1, 2, 3), A, B, C, D, E, F, G приведены в табл. 16.1
1.15. α = 1, ω = 3, M0 = 0, M1 = 0, M2 = 2, M3 = 0, A = −1, B = 0, C = 1, D = 0, E = 0, F = 1, G = 0
2. Найти изображение функции
Функции f1(t), f2(t) и числовые значения параметров t1, t2 приведены в табл. 16.2.
2.15. f1(t) = t, f2(t) = 2π − t, t1 = π, t2 = 2π
3. По заданному изображению
найти оригинал. Значения коэффициентов A, B, C, a, b, c приведены в табл. 16.3.
3.15. A = 1, B = −6, C = 8, a = 2, b = −2, c = 4.






