1. По заданному оригиналу найти изображение по Лапласу:
Значения параметров α, ω, Mi (i = 0, 1, 2, 3), A, B, C, D, E, F, G приведены в табл. 16.1
1.17. α = 0, ω = 2, M0 = 0, M1 = 0, M2 = 2, M3 = 2, A = 1, B = −2, C = 0, D = 1, E = 0, F = 0, G = 0
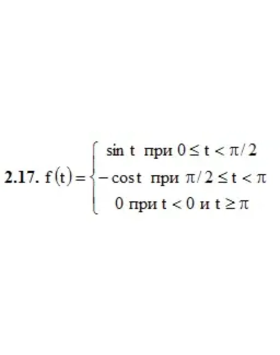
2. Найти изображение функции
Функции f1(t), f2(t) и числовые значения параметров t1, t2 приведены в табл. 16.2.
2.17. f1(t) = sint, f2(t) = −cost, t1 = π/2, t2 = π
3. По заданному изображению
найти оригинал. Значения коэффициентов A, B, C, a, b, c приведены в табл. 16.3.
3.17. A = 1, B = 9, C = 44, a = −1, b = 4, c = 13.
Значения параметров α, ω, Mi (i = 0, 1, 2, 3), A, B, C, D, E, F, G приведены в табл. 16.1
1.17. α = 0, ω = 2, M0 = 0, M1 = 0, M2 = 2, M3 = 2, A = 1, B = −2, C = 0, D = 1, E = 0, F = 0, G = 0
2. Найти изображение функции
Функции f1(t), f2(t) и числовые значения параметров t1, t2 приведены в табл. 16.2.
2.17. f1(t) = sint, f2(t) = −cost, t1 = π/2, t2 = π
3. По заданному изображению
найти оригинал. Значения коэффициентов A, B, C, a, b, c приведены в табл. 16.3.
3.17. A = 1, B = 9, C = 44, a = −1, b = 4, c = 13.






