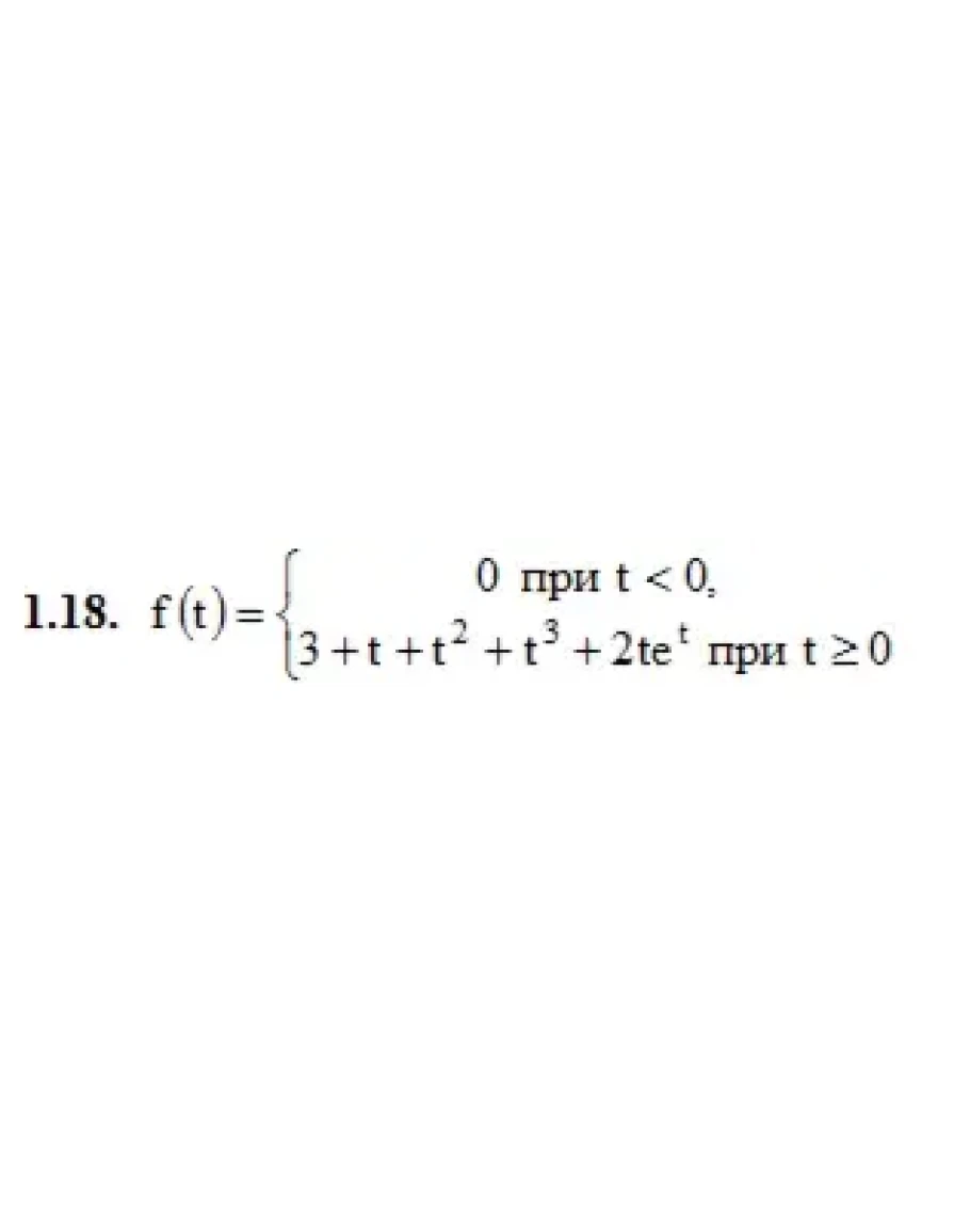
1. По заданному оригиналу найти изображение по Лапласу:
Значения параметров α, ω, Mi (i = 0, 1, 2, 3), A, B, C, D, E, F, G приведены в табл. 16.1
1.18. α = 1, ω = 0, M0 = 3, M1 = 1, M2 = 1, M3 = 1, A = 1, B = 0, C = 2, D = 0, E = 0, F = 0, G = 0
2. Найти изображение функции
Функции f1(t), f2(t) и числовые значения параметров t1, t2 приведены в табл. 16.2.
2.18. f1(t) = t, f2(t) = 4−t, t1 = 2, t2 = 4
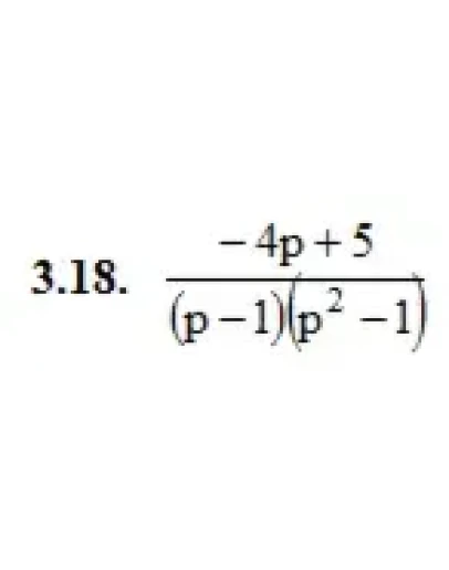
3. По заданному изображению
найти оригинал. Значения коэффициентов A, B, C, a, b, c приведены в табл. 16.3.
3.18. A = 0, B = −4, C = 5, a = −1, b = 0, c = −1.
Значения параметров α, ω, Mi (i = 0, 1, 2, 3), A, B, C, D, E, F, G приведены в табл. 16.1
1.18. α = 1, ω = 0, M0 = 3, M1 = 1, M2 = 1, M3 = 1, A = 1, B = 0, C = 2, D = 0, E = 0, F = 0, G = 0
2. Найти изображение функции
Функции f1(t), f2(t) и числовые значения параметров t1, t2 приведены в табл. 16.2.
2.18. f1(t) = t, f2(t) = 4−t, t1 = 2, t2 = 4
3. По заданному изображению
найти оригинал. Значения коэффициентов A, B, C, a, b, c приведены в табл. 16.3.
3.18. A = 0, B = −4, C = 5, a = −1, b = 0, c = −1.






