1. По заданному оригиналу найти изображение по Лапласу:
Значения параметров α, ω, Mi (i = 0, 1, 2, 3), A, B, C, D, E, F, G приведены в табл. 16.1
1.19. α = −1, ω = 2, M0 = 0, M1 = 2, M2 = −1, M3 = 1, A = 2, B = 0, C = 0, D = 1, E = 0, F = 0, G = 0
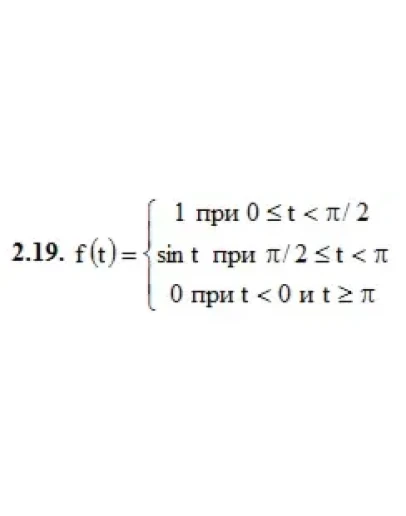
2. Найти изображение функции
Функции f1(t), f2(t) и числовые значения параметров t1, t2 приведены в табл. 16.2.
2.19. f1(t) = 1, f2(t) = sint, t1 = π/2, t2 = π
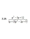
3. По заданному изображению
найти оригинал. Значения коэффициентов A, B, C, a, b, c приведены в табл. 16.3.
3.19. A = 1, B = −3, C = 12, a = 1, b = −2, c = 5.
Значения параметров α, ω, Mi (i = 0, 1, 2, 3), A, B, C, D, E, F, G приведены в табл. 16.1
1.19. α = −1, ω = 2, M0 = 0, M1 = 2, M2 = −1, M3 = 1, A = 2, B = 0, C = 0, D = 1, E = 0, F = 0, G = 0
2. Найти изображение функции
Функции f1(t), f2(t) и числовые значения параметров t1, t2 приведены в табл. 16.2.
2.19. f1(t) = 1, f2(t) = sint, t1 = π/2, t2 = π
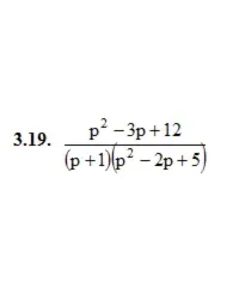
3. По заданному изображению
найти оригинал. Значения коэффициентов A, B, C, a, b, c приведены в табл. 16.3.
3.19. A = 1, B = −3, C = 12, a = 1, b = −2, c = 5.






