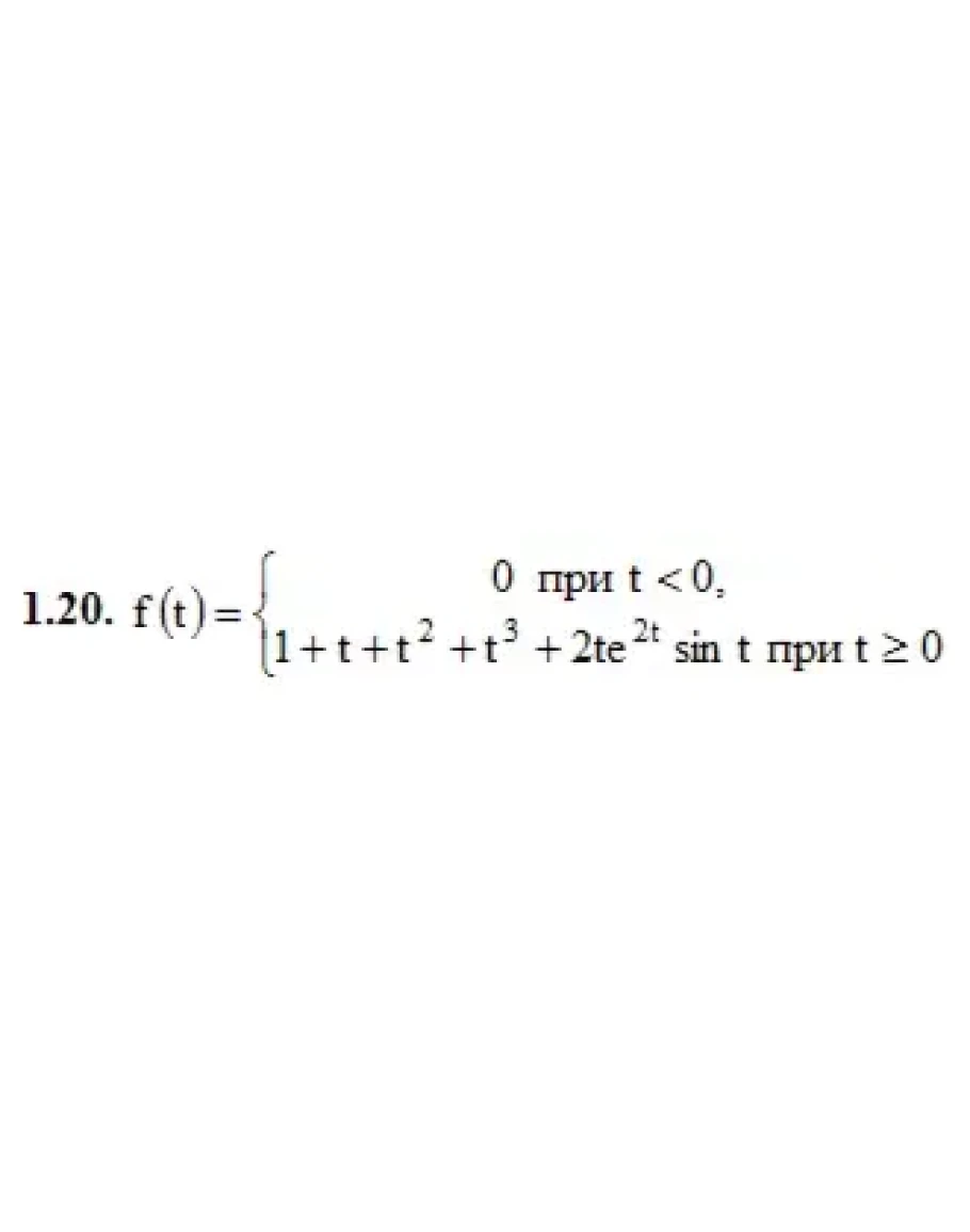
1. По заданному оригиналу найти изображение по Лапласу:
Значения параметров α, ω, Mi (i = 0, 1, 2, 3), A, B, C, D, E, F, G приведены в табл. 16.1
1.20. α = 2, ω = 1, M0 = 1, M1 = 1, M2 = 1, M3 = 1, A = 2, B = 0, C = 0, D = 0, E = 0, F = 0, G = 0
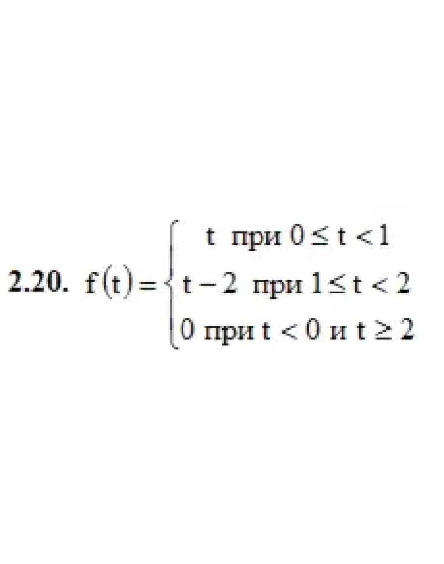
2. Найти изображение функции
Функции f1(t), f2(t) и числовые значения параметров t1, t2 приведены в табл. 16.2.
2.20. f1(t) = t, f2(t) = t − 2, t1 = 1, t2 = 2
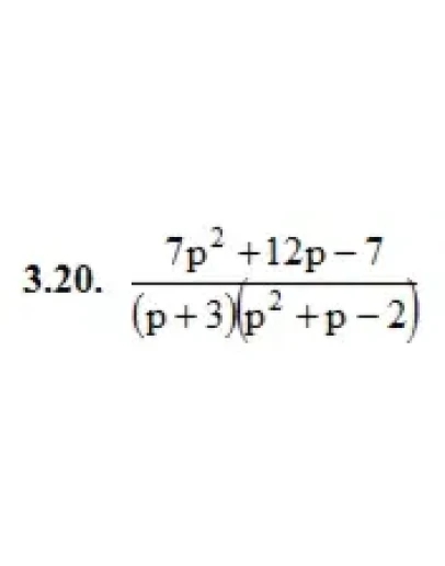
3. По заданному изображению
найти оригинал. Значения коэффициентов A, B, C, a, b, c приведены в табл. 16.3.
3.20. A = 7, B = 12, C = −7, a = 3, b = 1, c = −2.
Значения параметров α, ω, Mi (i = 0, 1, 2, 3), A, B, C, D, E, F, G приведены в табл. 16.1
1.20. α = 2, ω = 1, M0 = 1, M1 = 1, M2 = 1, M3 = 1, A = 2, B = 0, C = 0, D = 0, E = 0, F = 0, G = 0
2. Найти изображение функции
Функции f1(t), f2(t) и числовые значения параметров t1, t2 приведены в табл. 16.2.
2.20. f1(t) = t, f2(t) = t − 2, t1 = 1, t2 = 2
3. По заданному изображению
найти оригинал. Значения коэффициентов A, B, C, a, b, c приведены в табл. 16.3.
3.20. A = 7, B = 12, C = −7, a = 3, b = 1, c = −2.






