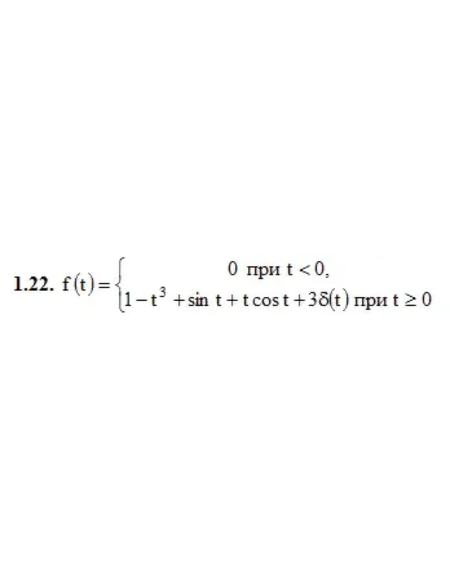
1. По заданному оригиналу найти изображение по Лапласу:
Значения параметров α, ω, Mi (i = 0, 1, 2, 3), A, B, C, D, E, F, G приведены в табл. 16.1
1.22. α = 0, ω = 1, M0 = 1, M1 = 0, M2 = 0, M3 = −1, A = 0, B = 1, C = 1, D = 0, E = 0, F = 3, G = 0
2. Найти изображение функции
Функции f1(t), f2(t) и числовые значения параметров t1, t2 приведены в табл. 16.2.
2.22. f1(t) = t, f2(t) = π−t, t1 = π/2, t2 = π
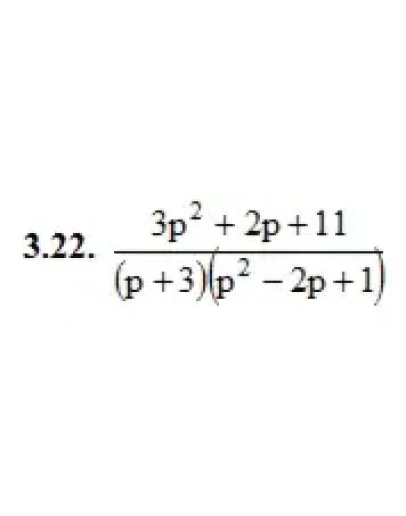
3. По заданному изображению
найти оригинал. Значения коэффициентов A, B, C, a, b, c приведены в табл. 16.3.
3.22. A = 3, B = 2, C = 11, a = 3, b = −2, c = 1.
Значения параметров α, ω, Mi (i = 0, 1, 2, 3), A, B, C, D, E, F, G приведены в табл. 16.1
1.22. α = 0, ω = 1, M0 = 1, M1 = 0, M2 = 0, M3 = −1, A = 0, B = 1, C = 1, D = 0, E = 0, F = 3, G = 0
2. Найти изображение функции
Функции f1(t), f2(t) и числовые значения параметров t1, t2 приведены в табл. 16.2.
2.22. f1(t) = t, f2(t) = π−t, t1 = π/2, t2 = π
3. По заданному изображению
найти оригинал. Значения коэффициентов A, B, C, a, b, c приведены в табл. 16.3.
3.22. A = 3, B = 2, C = 11, a = 3, b = −2, c = 1.






