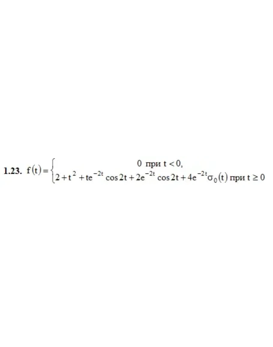
1. По заданному оригиналу найти изображение по Лапласу:
Значения параметров α, ω, Mi (i = 0, 1, 2, 3), A, B, C, D, E, F, G приведены в табл. 16.1
1.23. α = −2, ω = 0, M0 = 2, M1 = 0, M2 = 1, M3 = 0, A = 0, B = 0, C = 1, D = 2, E = 4, F = 0, G = 0
2. Найти изображение функции
Функции f1(t), f2(t) и числовые значения параметров t1, t2 приведены в табл. 16.2.
2.23. f1(t) = t/2, f2(t) = −t/2, t1 = 2, t2 = 4
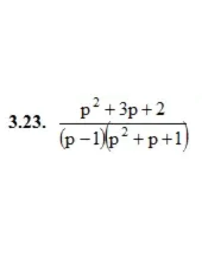
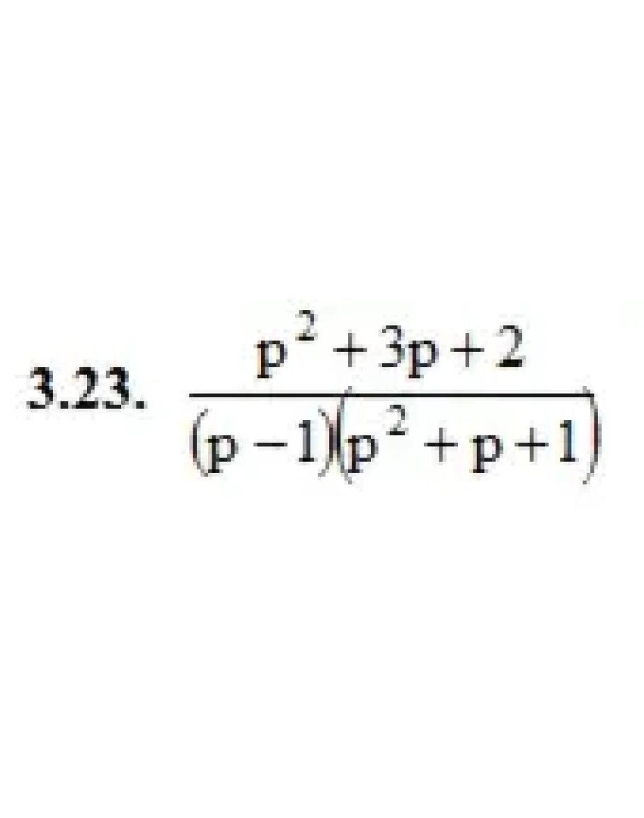
3. По заданному изображению
найти оригинал. Значения коэффициентов A, B, C, a, b, c приведены в табл. 16.3.
3.23. A = 1, B = 3, C = 2, a = −1, b = 1, c = 1.
Значения параметров α, ω, Mi (i = 0, 1, 2, 3), A, B, C, D, E, F, G приведены в табл. 16.1
1.23. α = −2, ω = 0, M0 = 2, M1 = 0, M2 = 1, M3 = 0, A = 0, B = 0, C = 1, D = 2, E = 4, F = 0, G = 0
2. Найти изображение функции
Функции f1(t), f2(t) и числовые значения параметров t1, t2 приведены в табл. 16.2.
2.23. f1(t) = t/2, f2(t) = −t/2, t1 = 2, t2 = 4
3. По заданному изображению
найти оригинал. Значения коэффициентов A, B, C, a, b, c приведены в табл. 16.3.
3.23. A = 1, B = 3, C = 2, a = −1, b = 1, c = 1.






