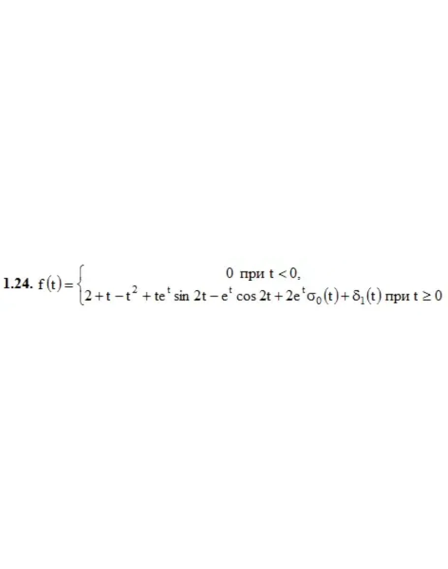
1. По заданному оригиналу найти изображение по Лапласу:
Значения параметров α, ω, Mi (i = 0, 1, 2, 3), A, B, C, D, E, F, G приведены в табл. 16.1
1.24. α = 1, ω = 2, M0 = 2, M1 = 1, M2 = −1, M3 = 0, A = 1, B = 0, C = 0, D = −1, E = 2, F = 0, G = 1
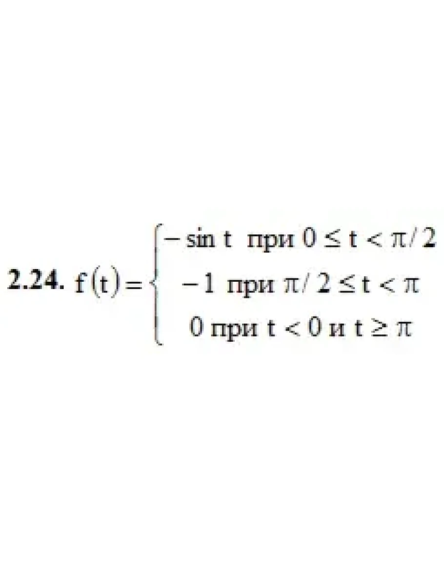
2. Найти изображение функции
Функции f1(t), f2(t) и числовые значения параметров t1, t2 приведены в табл. 16.2.
2.24. f1(t) = −sint, f2(t) = −1, t1 = π/2, t2 = π
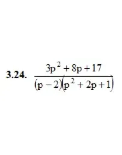
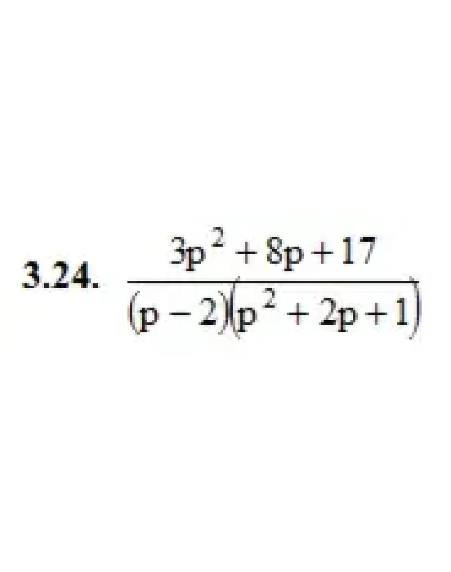
3. По заданному изображению
найти оригинал. Значения коэффициентов A, B, C, a, b, c приведены в табл. 16.3.
3.24. A = 3, B = 8, C = 17, a = −2, b = 2, c = 1.
Значения параметров α, ω, Mi (i = 0, 1, 2, 3), A, B, C, D, E, F, G приведены в табл. 16.1
1.24. α = 1, ω = 2, M0 = 2, M1 = 1, M2 = −1, M3 = 0, A = 1, B = 0, C = 0, D = −1, E = 2, F = 0, G = 1
2. Найти изображение функции
Функции f1(t), f2(t) и числовые значения параметров t1, t2 приведены в табл. 16.2.
2.24. f1(t) = −sint, f2(t) = −1, t1 = π/2, t2 = π
3. По заданному изображению
найти оригинал. Значения коэффициентов A, B, C, a, b, c приведены в табл. 16.3.
3.24. A = 3, B = 8, C = 17, a = −2, b = 2, c = 1.






