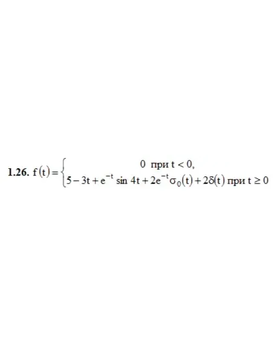
1. По заданному оригиналу найти изображение по Лапласу:
Значения параметров α, ω, Mi (i = 0, 1, 2, 3), A, B, C, D, E, F, G приведены в табл. 16.1
1.26. α = −1, ω = 4, M0 = 5, M1 = −3, M2 = 0, M3 = 0, A = 0, B = 1, C = 0, D = 0, E = 2, F = 2, G = 0
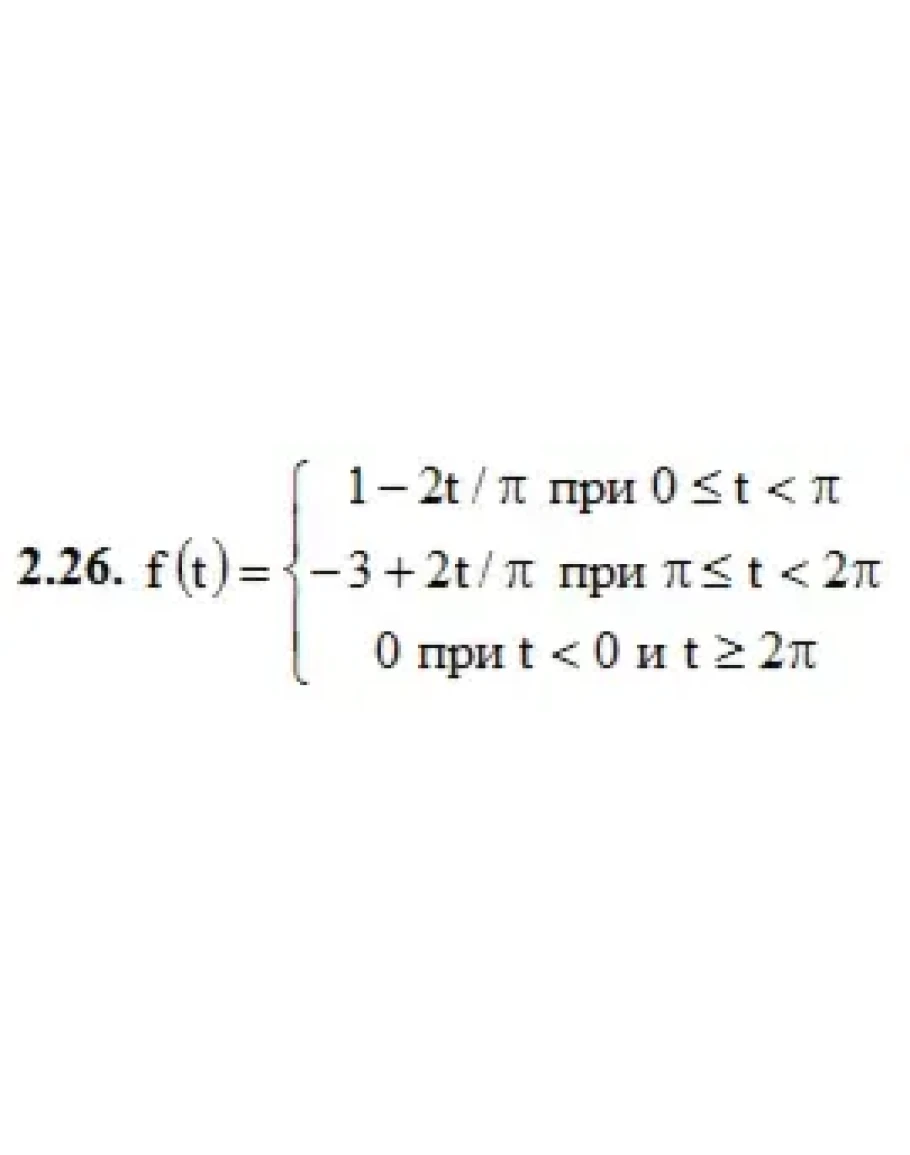
2. Найти изображение функции
Функции f1(t), f2(t) и числовые значения параметров t1, t2 приведены в табл. 16.2.
2.26. f1(t) = 1−2t/π, f2(t) = −3+2t/π, t1 = π, t2 = 2π
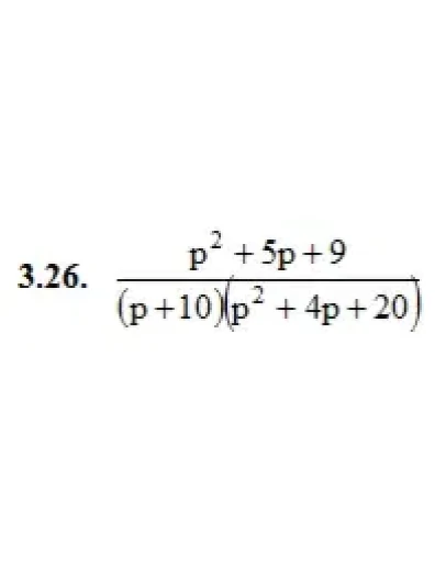
3. По заданному изображению
найти оригинал. Значения коэффициентов A, B, C, a, b, c приведены в табл. 16.3.
3.26. A = 1, B = 5, C = 9, a = 10, b = 4, c = 20.
Значения параметров α, ω, Mi (i = 0, 1, 2, 3), A, B, C, D, E, F, G приведены в табл. 16.1
1.26. α = −1, ω = 4, M0 = 5, M1 = −3, M2 = 0, M3 = 0, A = 0, B = 1, C = 0, D = 0, E = 2, F = 2, G = 0
2. Найти изображение функции
Функции f1(t), f2(t) и числовые значения параметров t1, t2 приведены в табл. 16.2.
2.26. f1(t) = 1−2t/π, f2(t) = −3+2t/π, t1 = π, t2 = 2π
3. По заданному изображению
найти оригинал. Значения коэффициентов A, B, C, a, b, c приведены в табл. 16.3.
3.26. A = 1, B = 5, C = 9, a = 10, b = 4, c = 20.






