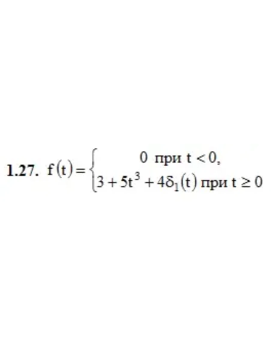
1. По заданному оригиналу найти изображение по Лапласу:
Значения параметров α, ω, Mi (i = 0, 1, 2, 3), A, B, C, D, E, F, G приведены в табл. 16.1
1.27. α = 1, ω = 0, M0 = 3, M1 = 0, M2 = 0, M3 = 5, A = 2, B = 0, C = 0, D = 0, E = 0, F = 0, G = 4
2. Найти изображение функции
Функции f1(t), f2(t) и числовые значения параметров t1, t2 приведены в табл. 16.2.
2.27. f1(t) = 1, f2(t) = t/2, t1 = 2, t2 = 3
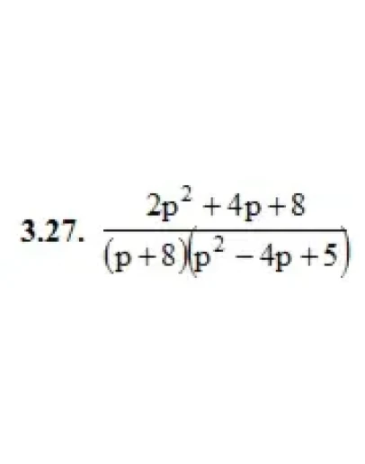
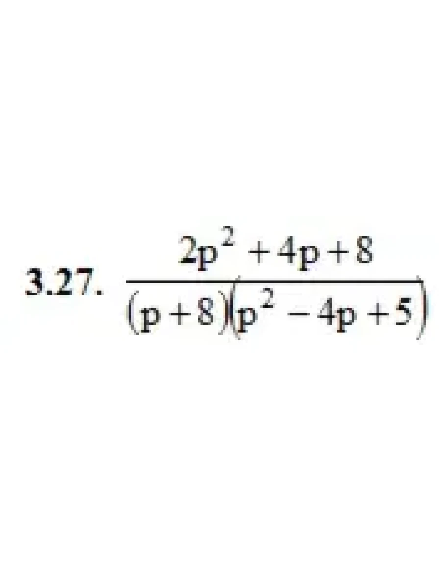
3. По заданному изображению
найти оригинал. Значения коэффициентов A, B, C, a, b, c приведены в табл. 16.3.
3.27. A = 2, B = 4, C = 8, a = 8, b = −4, c = 5.
Значения параметров α, ω, Mi (i = 0, 1, 2, 3), A, B, C, D, E, F, G приведены в табл. 16.1
1.27. α = 1, ω = 0, M0 = 3, M1 = 0, M2 = 0, M3 = 5, A = 2, B = 0, C = 0, D = 0, E = 0, F = 0, G = 4
2. Найти изображение функции
Функции f1(t), f2(t) и числовые значения параметров t1, t2 приведены в табл. 16.2.
2.27. f1(t) = 1, f2(t) = t/2, t1 = 2, t2 = 3
3. По заданному изображению
найти оригинал. Значения коэффициентов A, B, C, a, b, c приведены в табл. 16.3.
3.27. A = 2, B = 4, C = 8, a = 8, b = −4, c = 5.






