1. По заданному оригиналу найти изображение по Лапласу:
Значения параметров α, ω, Mi (i = 0, 1, 2, 3), A, B, C, D, E, F, G приведены в табл. 16.1
1.28. α = 2, ω = 0, M0 = 0, M1 = 0, M2 = 3, M3 = 0, A = 0, B = 0, C = 2, D = −1, E = 0, F = 3, G = 0
2. Найти изображение функции
Функции f1(t), f2(t) и числовые значения параметров t1, t2 приведены в табл. 16.2.
2.28. f1(t) = t−2, f2(t) = 3, t1 = 5, t2 = 6
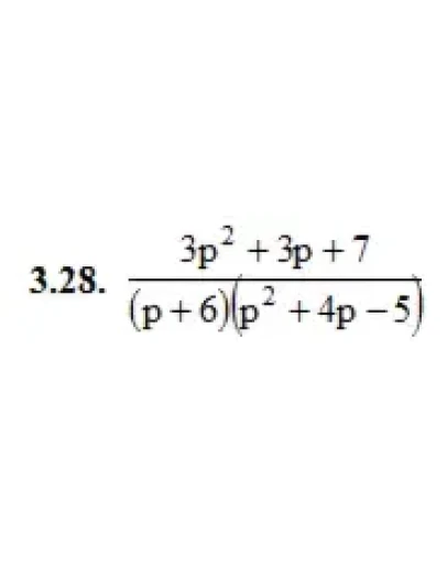
3. По заданному изображению
найти оригинал. Значения коэффициентов A, B, C, a, b, c приведены в табл. 16.3.
3.28. A = 3, B = 3, C = 7, a = 6, b = 4, c = −5.
Значения параметров α, ω, Mi (i = 0, 1, 2, 3), A, B, C, D, E, F, G приведены в табл. 16.1
1.28. α = 2, ω = 0, M0 = 0, M1 = 0, M2 = 3, M3 = 0, A = 0, B = 0, C = 2, D = −1, E = 0, F = 3, G = 0
2. Найти изображение функции
Функции f1(t), f2(t) и числовые значения параметров t1, t2 приведены в табл. 16.2.
2.28. f1(t) = t−2, f2(t) = 3, t1 = 5, t2 = 6
3. По заданному изображению
найти оригинал. Значения коэффициентов A, B, C, a, b, c приведены в табл. 16.3.
3.28. A = 3, B = 3, C = 7, a = 6, b = 4, c = −5.






