1. По заданному оригиналу найти изображение по Лапласу:
Значения параметров α, ω, Mi (i = 0, 1, 2, 3), A, B, C, D, E, F, G приведены в табл. 16.1
1.3. α = 0, ω = 0, M0 = 1, M1 = 0, M2 = 2, M3 = 1, A = 0, B = 0, C = 1, D = 0, E = 0, F = 0, G = 5
2. Найти изображение функции
Функции f1(t), f2(t) и числовые значения параметров t1, t2 приведены в табл. 16.2.
2.3. f1(t) = t/π, f2(t) = −t/π, t1 = π, t2 = 2π
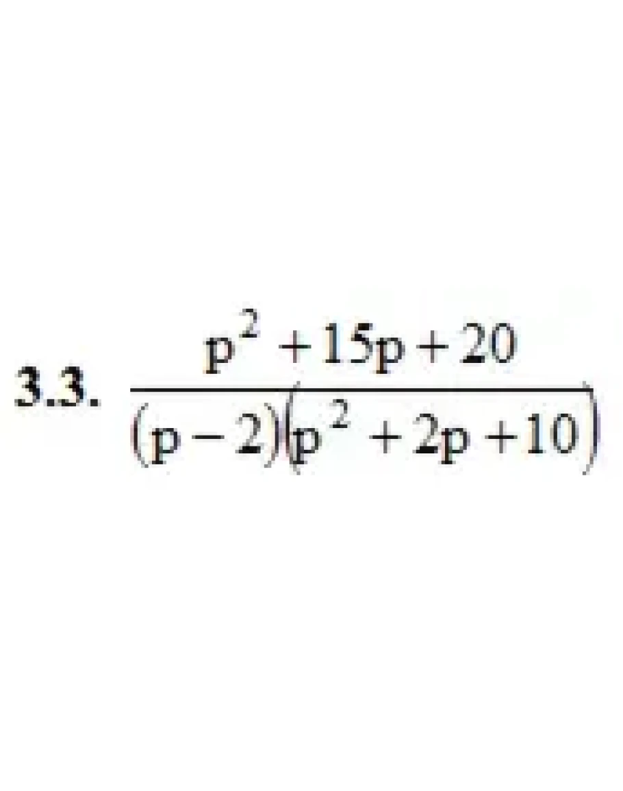
3. По заданному изображению
найти оригинал. Значения коэффициентов A, B, C, a, b, c приведены в табл. 16.3.
3.3. A = 1, B = 15, C = 20, a = −2, b = 2, c = 10.
Значения параметров α, ω, Mi (i = 0, 1, 2, 3), A, B, C, D, E, F, G приведены в табл. 16.1
1.3. α = 0, ω = 0, M0 = 1, M1 = 0, M2 = 2, M3 = 1, A = 0, B = 0, C = 1, D = 0, E = 0, F = 0, G = 5
2. Найти изображение функции
Функции f1(t), f2(t) и числовые значения параметров t1, t2 приведены в табл. 16.2.
2.3. f1(t) = t/π, f2(t) = −t/π, t1 = π, t2 = 2π
3. По заданному изображению
найти оригинал. Значения коэффициентов A, B, C, a, b, c приведены в табл. 16.3.
3.3. A = 1, B = 15, C = 20, a = −2, b = 2, c = 10.






