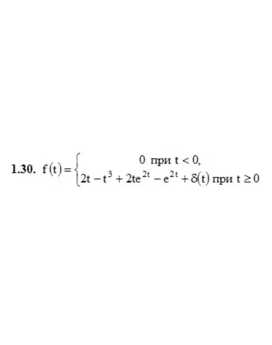
1. По заданному оригиналу найти изображение по Лапласу:
Значения параметров α, ω, Mi (i = 0, 1, 2, 3), A, B, C, D, E, F, G приведены в табл. 16.1
1.30. α = 2, ω = 0, M0 = 0, M1 = 2, M2 = 0, M3 = −1, A = 0, B = 0, C = 2, D = −1, E = 0, F = 1, G = 0
2. Найти изображение функции
Функции f1(t), f2(t) и числовые значения параметров t1, t2 приведены в табл. 16.2.
2.30. f1(t) = expt, f2(t) = −1, t1 = 1, t2 = 2
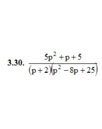
3. По заданному изображению
найти оригинал. Значения коэффициентов A, B, C, a, b, c приведены в табл. 16.3.
3.30. A = 5, B = 1, C = 5, a = 2, b = −8, c = 25.
Значения параметров α, ω, Mi (i = 0, 1, 2, 3), A, B, C, D, E, F, G приведены в табл. 16.1
1.30. α = 2, ω = 0, M0 = 0, M1 = 2, M2 = 0, M3 = −1, A = 0, B = 0, C = 2, D = −1, E = 0, F = 1, G = 0
2. Найти изображение функции
Функции f1(t), f2(t) и числовые значения параметров t1, t2 приведены в табл. 16.2.
2.30. f1(t) = expt, f2(t) = −1, t1 = 1, t2 = 2
3. По заданному изображению
найти оригинал. Значения коэффициентов A, B, C, a, b, c приведены в табл. 16.3.
3.30. A = 5, B = 1, C = 5, a = 2, b = −8, c = 25.






