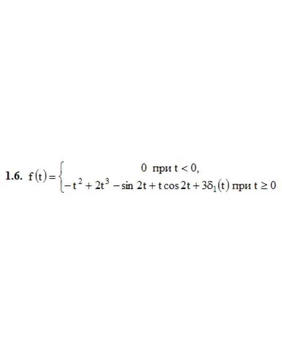
1. По заданному оригиналу найти изображение по Лапласу:
Значения параметров α, ω, Mi (i = 0, 1, 2, 3), A, B, C, D, E, F, G приведены в табл. 16.1
1.6. α = 0, ω = 2, M0 = 0, M1 = 0, M2 = −1, M3 = 2, A = 0, B = −1, C = 1, D = 0, E = 0, F = 0, G = 3
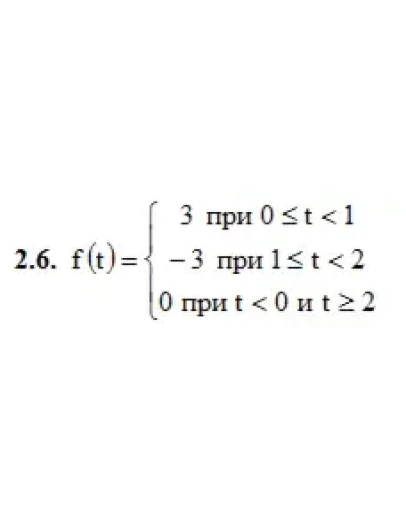
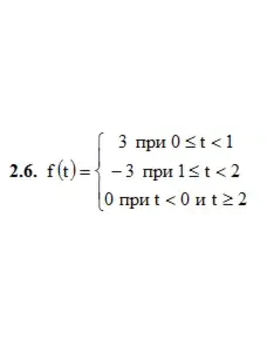
2. Найти изображение функции
Функции f1(t), f2(t) и числовые значения параметров t1, t2 приведены в табл. 16.2.
2.6. f1(t) = 3, f2(t) = −3, t1 = 1, t2 = 2
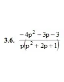
3. По заданному изображению
найти оригинал. Значения коэффициентов A, B, C, a, b, c приведены в табл. 16.3.
3.6. A = −4, B = −3, C = −3, a = 0, b = 2, c = 1.
Значения параметров α, ω, Mi (i = 0, 1, 2, 3), A, B, C, D, E, F, G приведены в табл. 16.1
1.6. α = 0, ω = 2, M0 = 0, M1 = 0, M2 = −1, M3 = 2, A = 0, B = −1, C = 1, D = 0, E = 0, F = 0, G = 3
2. Найти изображение функции
Функции f1(t), f2(t) и числовые значения параметров t1, t2 приведены в табл. 16.2.
2.6. f1(t) = 3, f2(t) = −3, t1 = 1, t2 = 2
3. По заданному изображению
найти оригинал. Значения коэффициентов A, B, C, a, b, c приведены в табл. 16.3.
3.6. A = −4, B = −3, C = −3, a = 0, b = 2, c = 1.






