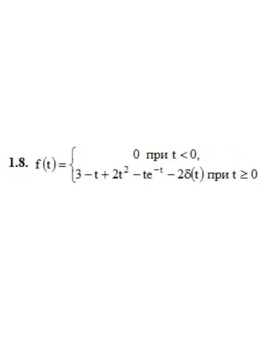
1. По заданному оригиналу найти изображение по Лапласу:
Значения параметров α, ω, Mi (i = 0, 1, 2, 3), A, B, C, D, E, F, G приведены в табл. 16.1
1.8. α = −1, ω = 0, M0 = 3, M1 = −1, M2 = 2, M3 = 0, A = 0, B = 0, C = −1, D = 0, E = 0, F = −2, G = 0
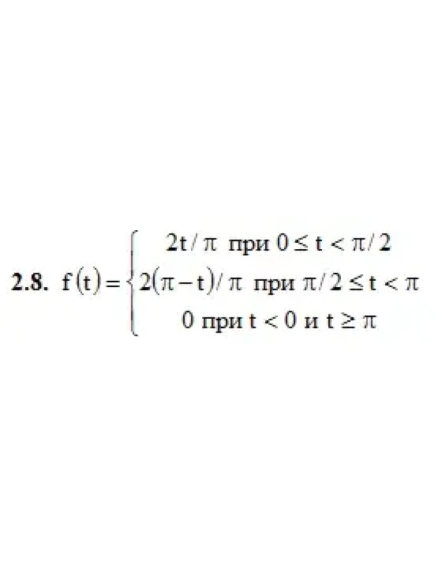
2. Найти изображение функции
Функции f1(t), f2(t) и числовые значения параметров t1, t2 приведены в табл. 16.2.
2.8. f1(t) = 2t/π, f2(t) = 2(π−t)/π, t1 = π/2, t2 = π
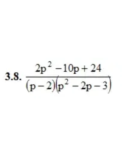
3. По заданному изображению
найти оригинал. Значения коэффициентов A, B, C, a, b, c приведены в табл. 16.3.
3.8. A = 2, B = −10, C = 24, a = −2, b = −2, c = −3.
Значения параметров α, ω, Mi (i = 0, 1, 2, 3), A, B, C, D, E, F, G приведены в табл. 16.1
1.8. α = −1, ω = 0, M0 = 3, M1 = −1, M2 = 2, M3 = 0, A = 0, B = 0, C = −1, D = 0, E = 0, F = −2, G = 0
2. Найти изображение функции
Функции f1(t), f2(t) и числовые значения параметров t1, t2 приведены в табл. 16.2.
2.8. f1(t) = 2t/π, f2(t) = 2(π−t)/π, t1 = π/2, t2 = π
3. По заданному изображению
найти оригинал. Значения коэффициентов A, B, C, a, b, c приведены в табл. 16.3.
3.8. A = 2, B = −10, C = 24, a = −2, b = −2, c = −3.






