1. Решить операторным методом линейное дифференциальное уравнение
αẍ + βẋ + γx = f(t), x(t0) = A, ẋ(t0) = B
Функцию f(t) и значения коэффициентов α, β, γ, t0, x(t0), ẋ(t0) взять из табл. 16.4
1.2. α = 0, β = 1, γ = 2, f(t) = 5cost, t0 = 0, x(t0) = 2, ẋ(t0) = −3
1.2. ẋ + 2x = 5cost, x(0) = 2, ẋ(0) = −3
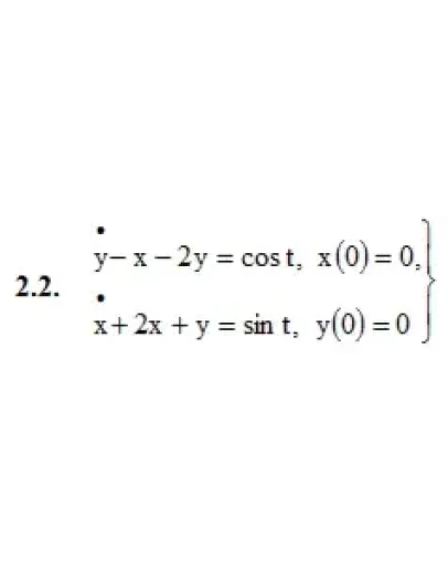
2. Решить операторным методом систему линейных дифференциальных уравнений
Функции f1(t), f2(t) и значения ak, bk, ck, dk (k=1, 2), A, B, x(0), y(0) взять из табл. 16.5
2.2. a1 = 0, b1 = 1, c1 = −1, d1 = −2, f1(t) = cost, a2 = 1, b2 = 0, c2 = 2, d2 = 1, f2(t) = sint, x(0) = 0, y(0) =0
αẍ + βẋ + γx = f(t), x(t0) = A, ẋ(t0) = B
Функцию f(t) и значения коэффициентов α, β, γ, t0, x(t0), ẋ(t0) взять из табл. 16.4
1.2. α = 0, β = 1, γ = 2, f(t) = 5cost, t0 = 0, x(t0) = 2, ẋ(t0) = −3
1.2. ẋ + 2x = 5cost, x(0) = 2, ẋ(0) = −3
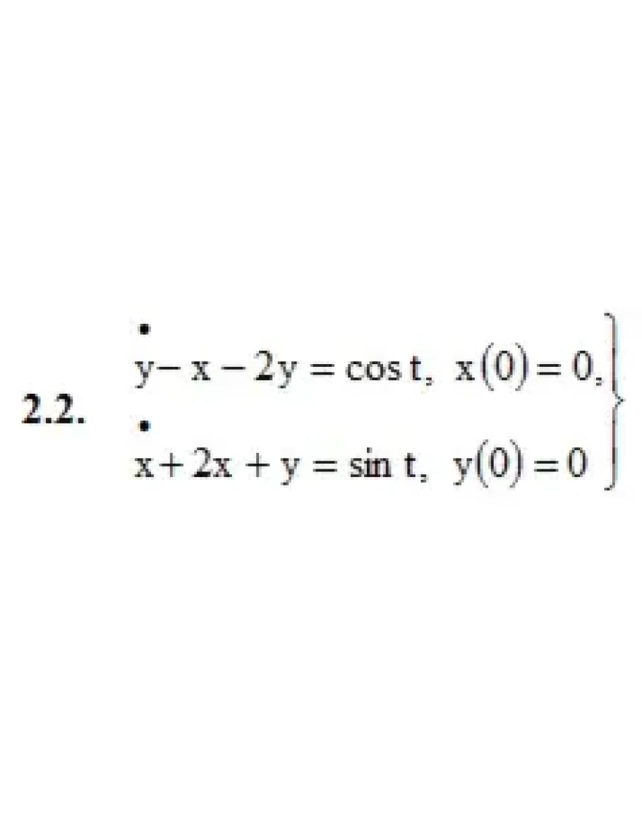
2. Решить операторным методом систему линейных дифференциальных уравнений
Функции f1(t), f2(t) и значения ak, bk, ck, dk (k=1, 2), A, B, x(0), y(0) взять из табл. 16.5
2.2. a1 = 0, b1 = 1, c1 = −1, d1 = −2, f1(t) = cost, a2 = 1, b2 = 0, c2 = 2, d2 = 1, f2(t) = sint, x(0) = 0, y(0) =0




