1. Решить операторным методом линейное дифференциальное уравнение
αẍ + βẋ + γx = f(t), x(t0) = A, ẋ(t0) = B
Функцию f(t) и значения коэффициентов α, β, γ, t0, x(t0), ẋ(t0) взять из табл. 16.4
1.21. α = 1, β = 4, γ = 4, f(t) = 9et, t0 = 0, x(t0) = 0, ẋ(t0) = 0
1.21. ẍ + 4ẋ + 4x = 9et, x(0) = 0, ẋ(0) = 0
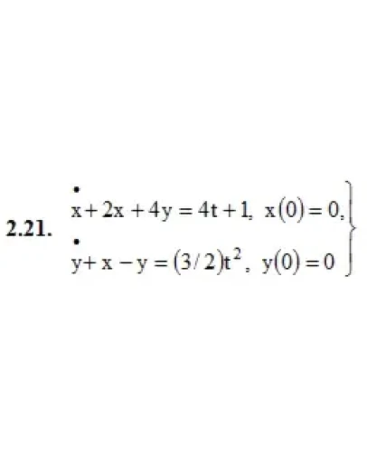
2. Решить операторным методом систему линейных дифференциальных уравнений
Функции f1(t), f2(t) и значения ak, bk, ck, dk (k=1, 2), A, B, x(0), y(0) взять из табл. 16.5
2.21. a1 = 1, b1 = 0, c1 = 2, d1 = 4, f1(t) = 4t+1, a2 = 0, b2 = 1, c2 = 1, d2 = −1, f2(t) = (3/2)t2, x(0) = 0, y(0) = 0
αẍ + βẋ + γx = f(t), x(t0) = A, ẋ(t0) = B
Функцию f(t) и значения коэффициентов α, β, γ, t0, x(t0), ẋ(t0) взять из табл. 16.4
1.21. α = 1, β = 4, γ = 4, f(t) = 9et, t0 = 0, x(t0) = 0, ẋ(t0) = 0
1.21. ẍ + 4ẋ + 4x = 9et, x(0) = 0, ẋ(0) = 0
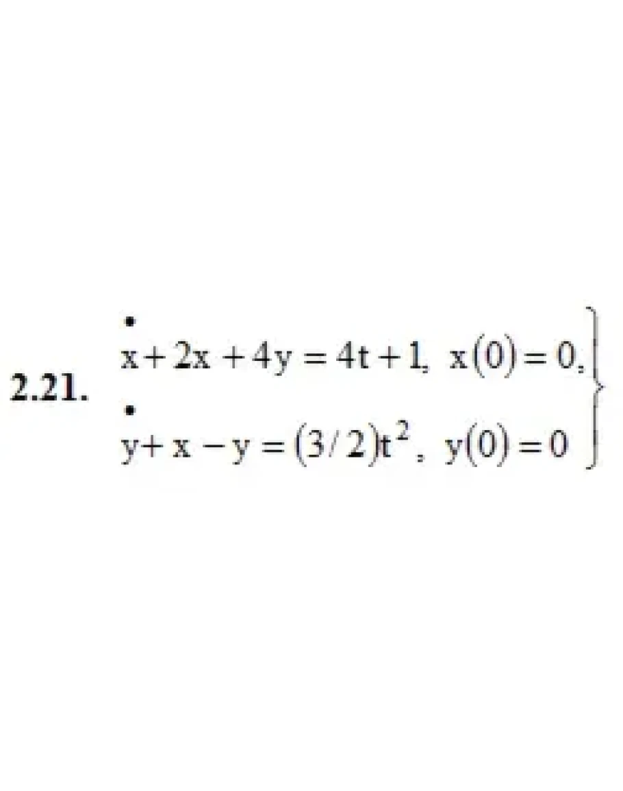
2. Решить операторным методом систему линейных дифференциальных уравнений
Функции f1(t), f2(t) и значения ak, bk, ck, dk (k=1, 2), A, B, x(0), y(0) взять из табл. 16.5
2.21. a1 = 1, b1 = 0, c1 = 2, d1 = 4, f1(t) = 4t+1, a2 = 0, b2 = 1, c2 = 1, d2 = −1, f2(t) = (3/2)t2, x(0) = 0, y(0) = 0




