1. Решить операторным методом линейное дифференциальное уравнение
αẍ + βẋ + γx = f(t), x(t0) = A, ẋ(t0) = B
Функцию f(t) и значения коэффициентов α, β, γ, t0, x(t0), ẋ(t0) взять из табл. 16.4
1.27. α = 2, β = 0, γ = 8, f(t) = 2cos2t, t0 = 0, x(t0) = −1, ẋ(t0) = 2
1.27. 2ẍ + 8x = 2cos2t, x(0) = −1, ẋ(0) = 2
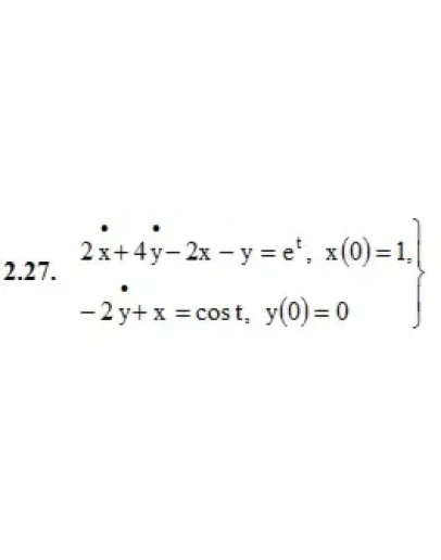
2. Решить операторным методом систему линейных дифференциальных уравнений
Функции f1(t), f2(t) и значения ak, bk, ck, dk (k=1, 2), A, B, x(0), y(0) взять из табл. 16.5
2.27. a1 = 2, b1 = 4, c1 = −2, d1 = −1, f1(t) = et, a2 = 0, b2 = −2, c2 = 1, d2 = 0, f2(t) = cost, x(0) = 1, y(0) = 0
αẍ + βẋ + γx = f(t), x(t0) = A, ẋ(t0) = B
Функцию f(t) и значения коэффициентов α, β, γ, t0, x(t0), ẋ(t0) взять из табл. 16.4
1.27. α = 2, β = 0, γ = 8, f(t) = 2cos2t, t0 = 0, x(t0) = −1, ẋ(t0) = 2
1.27. 2ẍ + 8x = 2cos2t, x(0) = −1, ẋ(0) = 2
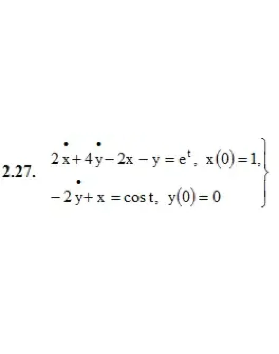
2. Решить операторным методом систему линейных дифференциальных уравнений
Функции f1(t), f2(t) и значения ak, bk, ck, dk (k=1, 2), A, B, x(0), y(0) взять из табл. 16.5
2.27. a1 = 2, b1 = 4, c1 = −2, d1 = −1, f1(t) = et, a2 = 0, b2 = −2, c2 = 1, d2 = 0, f2(t) = cost, x(0) = 1, y(0) = 0




