1. Решить операторным методом линейное дифференциальное уравнение
αẍ + βẋ + γx = f(t), x(t0) = A, ẋ(t0) = B
Функцию f(t) и значения коэффициентов α, β, γ, t0, x(t0), ẋ(t0) взять из табл. 16.4
1.30. α = 1, β = −4, γ = 5, f(t) = e2tcost, t0 = π/2, x(t0) = −1, ẋ(t0) = 1
1.30. ẍ − 4ẋ + 5x = e2tcost, x(π/2) = −1, ẋ(π/2) = 1
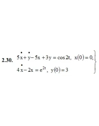
2. Решить операторным методом систему линейных дифференциальных уравнений
Функции f1(t), f2(t) и значения ak, bk, ck, dk (k=1, 2), A, B, x(0), y(0) взять из табл. 16.5
2.30. a1 = 5, b1 = 1, c1 = −5, d1 = 3, f1(t) = cos2t, a2 = 4, b2 = 0, c2 = −2, d2 = 0, f2(t) = e2t, x(0) = 0, y(0)=3
αẍ + βẋ + γx = f(t), x(t0) = A, ẋ(t0) = B
Функцию f(t) и значения коэффициентов α, β, γ, t0, x(t0), ẋ(t0) взять из табл. 16.4
1.30. α = 1, β = −4, γ = 5, f(t) = e2tcost, t0 = π/2, x(t0) = −1, ẋ(t0) = 1
1.30. ẍ − 4ẋ + 5x = e2tcost, x(π/2) = −1, ẋ(π/2) = 1
2. Решить операторным методом систему линейных дифференциальных уравнений
Функции f1(t), f2(t) и значения ak, bk, ck, dk (k=1, 2), A, B, x(0), y(0) взять из табл. 16.5
2.30. a1 = 5, b1 = 1, c1 = −5, d1 = 3, f1(t) = cos2t, a2 = 4, b2 = 0, c2 = −2, d2 = 0, f2(t) = e2t, x(0) = 0, y(0)=3




