1. Решить операторным методом линейное дифференциальное уравнение
αẍ + βẋ + γx = f(t), x(t0) = A, ẋ(t0) = B
Функцию f(t) и значения коэффициентов α, β, γ, t0, x(t0), ẋ(t0) взять из табл. 16.4
1.8. α = 1, β = 0, γ = 1, f(t) = 0, t0 = π, x(t0) = 1, ẋ(t0) = 0
1.8. ẍ + x = 0, x(π) = 1, ẋ(π) = 0
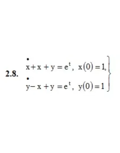
2. Решить операторным методом систему линейных дифференциальных уравнений
Функции f1(t), f2(t) и значения ak, bk, ck, dk (k=1, 2), A, B, x(0), y(0) взять из табл. 16.5
2.8. a1 = 1, b1 = 0, c1 = 1, d1 = 1, f1(t) = et, a2 = 0, b2 = 1, c2 = −1, d2 = 1, f2(t) = et, x(0) = 1, y(0) = 1
αẍ + βẋ + γx = f(t), x(t0) = A, ẋ(t0) = B
Функцию f(t) и значения коэффициентов α, β, γ, t0, x(t0), ẋ(t0) взять из табл. 16.4
1.8. α = 1, β = 0, γ = 1, f(t) = 0, t0 = π, x(t0) = 1, ẋ(t0) = 0
1.8. ẍ + x = 0, x(π) = 1, ẋ(π) = 0
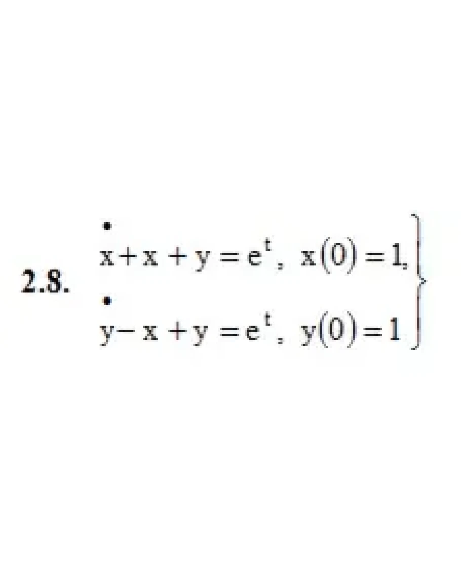
2. Решить операторным методом систему линейных дифференциальных уравнений
Функции f1(t), f2(t) и значения ak, bk, ck, dk (k=1, 2), A, B, x(0), y(0) взять из табл. 16.5
2.8. a1 = 1, b1 = 0, c1 = 1, d1 = 1, f1(t) = et, a2 = 0, b2 = 1, c2 = −1, d2 = 1, f2(t) = et, x(0) = 1, y(0) = 1




