1. Найти закон распределения указанной дискретной CB X и ее функцию распределения F(x). Вычислить математическое ожидание M(X), дисперсию D(X) и среднее квадратичное отклонение σ(X). Построить график функции распределения F(x)
1.10. Вероятность успешной сдачи первого экзамена для данного студента равна 0,9, второго экзамена – 0,8, третьего – 0,7; СВ Х – число сданных экзаменов.
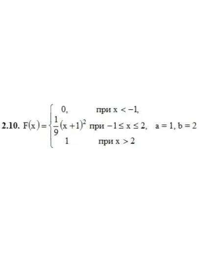
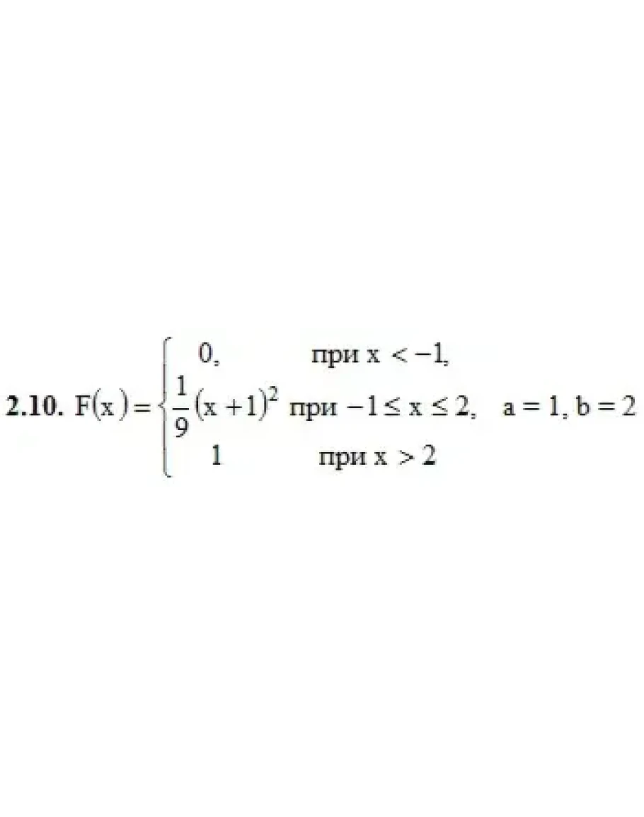
2. Дана функция распределения F(х) СВ X. Найти плотность распределения вероятностей f(x), математическое ожидание М(X), дисперсию D(X) и вероятность попадания СВ X на отрезок [а; b]. Построить графики функций F(х) и f(x).
3. Решить следующие задачи.
3.10. СВ X подчинена нормальному закону с математическим ожиданием, равным 0. Вероятность попадания этой СВ в интервал (–1; 1) равна 0,5. Найти среднее квадратичное отклонение и записать нормальный закон.
4. Решить следующие задачи.
4.10. Вероятность появления некоторого события в одном опыте равна 0,6. Какова вероятность того, что это событие появится в большинстве из 60 опытов?
1.10. Вероятность успешной сдачи первого экзамена для данного студента равна 0,9, второго экзамена – 0,8, третьего – 0,7; СВ Х – число сданных экзаменов.
2. Дана функция распределения F(х) СВ X. Найти плотность распределения вероятностей f(x), математическое ожидание М(X), дисперсию D(X) и вероятность попадания СВ X на отрезок [а; b]. Построить графики функций F(х) и f(x).
3. Решить следующие задачи.
3.10. СВ X подчинена нормальному закону с математическим ожиданием, равным 0. Вероятность попадания этой СВ в интервал (–1; 1) равна 0,5. Найти среднее квадратичное отклонение и записать нормальный закон.
4. Решить следующие задачи.
4.10. Вероятность появления некоторого события в одном опыте равна 0,6. Какова вероятность того, что это событие появится в большинстве из 60 опытов?




