1. Найти закон распределения указанной дискретной CB X и ее функцию распределения F(x). Вычислить математическое ожидание M(X), дисперсию D(X) и среднее квадратичное отклонение σ(X). Построить график функции распределения F(x)
1.14. В партии из 15 телефонных аппаратов 5 неисправных; СВ X – число неисправных аппаратов среди трех случайным образом отобранных.
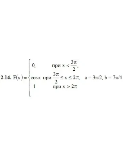
2. Дана функция распределения F(х) СВ X. Найти плотность распределения вероятностей f(x), математическое ожидание М(X), дисперсию D(X) и вероятность попадания СВ X на отрезок [а; b]. Построить графики функций F(х) и f(x).
3. Решить следующие задачи.
3.14. При работе ЭВМ время от времени возникают сбои. Поток сбоев можно считать простейшим. Среднее число сбоев за сутки равно 1,5. Найти вероятность того, что в течение суток произойдет хотя бы один сбой.
4. Решить следующие задачи.
4.14. По данным ОТК, брак при выпуске деталей составляет 2,5 %. Пользуясь теоремой Бернулли, оценить вероятность того, что при просмотре партии из 8000 деталей будет установлено отклонение от средней доли брака менее 0,005.
1.14. В партии из 15 телефонных аппаратов 5 неисправных; СВ X – число неисправных аппаратов среди трех случайным образом отобранных.
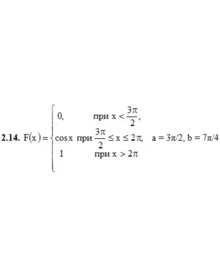
2. Дана функция распределения F(х) СВ X. Найти плотность распределения вероятностей f(x), математическое ожидание М(X), дисперсию D(X) и вероятность попадания СВ X на отрезок [а; b]. Построить графики функций F(х) и f(x).
3. Решить следующие задачи.
3.14. При работе ЭВМ время от времени возникают сбои. Поток сбоев можно считать простейшим. Среднее число сбоев за сутки равно 1,5. Найти вероятность того, что в течение суток произойдет хотя бы один сбой.
4. Решить следующие задачи.
4.14. По данным ОТК, брак при выпуске деталей составляет 2,5 %. Пользуясь теоремой Бернулли, оценить вероятность того, что при просмотре партии из 8000 деталей будет установлено отклонение от средней доли брака менее 0,005.




