1. Найти закон распределения указанной дискретной CB X и ее функцию распределения F(x). Вычислить математическое ожидание M(X), дисперсию D(X) и среднее квадратичное отклонение σ(X). Построить график функции распределения F(x)
1.15. Двое рабочих, выпускающих однотипную продукцию, допускают производство изделий второго сорта с вероятностями, равными соответственно 0,4 и 0,3. У каждого рабочего взято по 2 изделия; СВ X – число изделий второго сорта среди них.
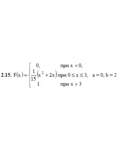
2. Дана функция распределения F(х) СВ X. Найти плотность распределения вероятностей f(x), математическое ожидание М(X), дисперсию D(X) и вероятность попадания СВ X на отрезок [а; b]. Построить графики функций F(х) и f(x).
3. Решить следующие задачи.
3.15. Из пункта С ведется стрельба из орудия вдоль прямой СК. Предполагается, что дальность полета распределена нормально с математическим ожиданием 1000 м и средним квадратичным отклонением 5 м. Определить (в процентах), сколько снарядов упадет с перелетом от 5 до 70 м. (Рассчетный ответ 15,9% или если округлить 16%)
4. Решить следующие задачи.
4.15. Вероятность появления события в отдельном испытании равна 0,6. Применив теорему Бернулли, определить число независимых испытаний, начиная с которого вероятность отклонения частоты события от его вероятности по абсолютной величине меньшего 0,1, больше 0,97. (Ответ: 800)
1.15. Двое рабочих, выпускающих однотипную продукцию, допускают производство изделий второго сорта с вероятностями, равными соответственно 0,4 и 0,3. У каждого рабочего взято по 2 изделия; СВ X – число изделий второго сорта среди них.
2. Дана функция распределения F(х) СВ X. Найти плотность распределения вероятностей f(x), математическое ожидание М(X), дисперсию D(X) и вероятность попадания СВ X на отрезок [а; b]. Построить графики функций F(х) и f(x).
3. Решить следующие задачи.
3.15. Из пункта С ведется стрельба из орудия вдоль прямой СК. Предполагается, что дальность полета распределена нормально с математическим ожиданием 1000 м и средним квадратичным отклонением 5 м. Определить (в процентах), сколько снарядов упадет с перелетом от 5 до 70 м. (Рассчетный ответ 15,9% или если округлить 16%)
4. Решить следующие задачи.
4.15. Вероятность появления события в отдельном испытании равна 0,6. Применив теорему Бернулли, определить число независимых испытаний, начиная с которого вероятность отклонения частоты события от его вероятности по абсолютной величине меньшего 0,1, больше 0,97. (Ответ: 800)




