1. Найти закон распределения указанной дискретной CB X и ее функцию распределения F(x). Вычислить математическое ожидание M(X), дисперсию D(X) и среднее квадратичное отклонение σ(X). Построить график функции распределения F(x)
1.16. 90 % панелей, изготавливаемых на заводе железобетонных изделий, - высшего сорта; СВ X – число панелей высшего сорта из четырех, взятых наугад.
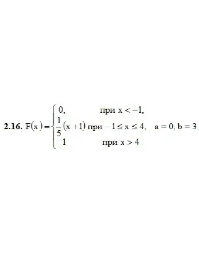
2. Дана функция распределения F(х) СВ X. Найти плотность распределения вероятностей f(x), математическое ожидание М(X), дисперсию D(X) и вероятность попадания СВ X на отрезок [а; b]. Построить графики функций F(х) и f(x).
3. Решить следующие задачи.
3.16. СВ X распределена нормально с математическим ожиданием 40 и дисперсией 100. Вычислить вероятность попадания СВ X в интервал (30; 80).
4. Решить следующие задачи.
4.16. Суточный расход воды в населенном пункте является случайной величиной, среднее квадратичное отклонение которой равно 10 000 л. Оценить вероятность того, что расход воды в этом пункте в течение дня отклоняется от математического ожидания по абсолютной величине более чем на 25 000 л.
1.16. 90 % панелей, изготавливаемых на заводе железобетонных изделий, - высшего сорта; СВ X – число панелей высшего сорта из четырех, взятых наугад.
2. Дана функция распределения F(х) СВ X. Найти плотность распределения вероятностей f(x), математическое ожидание М(X), дисперсию D(X) и вероятность попадания СВ X на отрезок [а; b]. Построить графики функций F(х) и f(x).
3. Решить следующие задачи.
3.16. СВ X распределена нормально с математическим ожиданием 40 и дисперсией 100. Вычислить вероятность попадания СВ X в интервал (30; 80).
4. Решить следующие задачи.
4.16. Суточный расход воды в населенном пункте является случайной величиной, среднее квадратичное отклонение которой равно 10 000 л. Оценить вероятность того, что расход воды в этом пункте в течение дня отклоняется от математического ожидания по абсолютной величине более чем на 25 000 л.




