1. Найти закон распределения указанной дискретной CB X и ее функцию распределения F(x). Вычислить математическое ожидание M(X), дисперсию D(X) и среднее квадратичное отклонение σ(X). Построить график функции распределения F(x)
1.17. Вероятность отказа прибора за время испытания на надежность равна 0,2; СВ X – число приборов, отказавших в работе, среди пяти испытываемых.
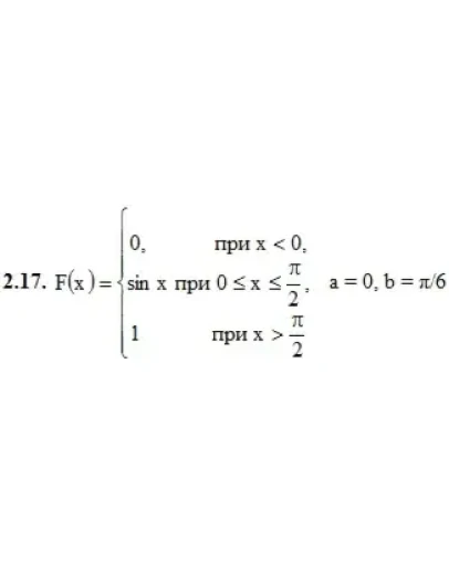
2. Дана функция распределения F(х) СВ X. Найти плотность распределения вероятностей f(x), математическое ожидание М(X), дисперсию D(X) и вероятность попадания СВ X на отрезок [а; b]. Построить графики функций F(х) и f(x).
3. Решить следующие задачи.
3.17. Трамваи данного маршрута идут с интервалом в 5 мин. Пассажир подходит к трамвайной остановке в некоторый момент времени. Какова вероятность появления пассажира не ранее чем через 1 мин после ухода предыдущего трамвая, но не позднее чем за 2 мин до отхода следующего трамвая?
4. Решить следующие задачи.
4.17. Математическое ожидание количества выпадающих в течение года в данной местности осадков составляет 60 см. Определить вероятность того, что в этой местности осадков выпадет не менее 180 см.
1.17. Вероятность отказа прибора за время испытания на надежность равна 0,2; СВ X – число приборов, отказавших в работе, среди пяти испытываемых.
2. Дана функция распределения F(х) СВ X. Найти плотность распределения вероятностей f(x), математическое ожидание М(X), дисперсию D(X) и вероятность попадания СВ X на отрезок [а; b]. Построить графики функций F(х) и f(x).
3. Решить следующие задачи.
3.17. Трамваи данного маршрута идут с интервалом в 5 мин. Пассажир подходит к трамвайной остановке в некоторый момент времени. Какова вероятность появления пассажира не ранее чем через 1 мин после ухода предыдущего трамвая, но не позднее чем за 2 мин до отхода следующего трамвая?
4. Решить следующие задачи.
4.17. Математическое ожидание количества выпадающих в течение года в данной местности осадков составляет 60 см. Определить вероятность того, что в этой местности осадков выпадет не менее 180 см.




