1. Найти закон распределения указанной дискретной CB X и ее функцию распределения F(x). Вычислить математическое ожидание M(X), дисперсию D(X) и среднее квадратичное отклонение σ(X). Построить график функции распределения F(x)
1.21. В первой студенческой группе из 24 человек 4 отличника, во второй из 22 – 3 отличника, в третьей из 24 – 6 отличников и в четвертой из 20 – 2 отличника; СВ X – число отличников, приглашенных на конференцию, при условии, что из каждой группы выделили случайным образом по одному человеку.
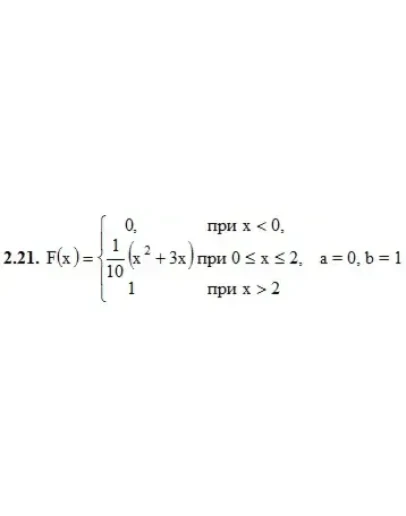
2. Дана функция распределения F(х) СВ X. Найти плотность распределения вероятностей f(x), математическое ожидание М(X), дисперсию D(X) и вероятность попадания СВ X на отрезок [а; b]. Построить графики функций F(х) и f(x).
3. Решить следующие задачи.
3.21. Производят взвешивание вещества без систематических ошибок. Случайная ошибка взвешивания распределена нормально с математическим ожиданием 20 кг и средним квадратичным отклонением 2 кг. Найти вероятность того, что следующее взвешивание отличается от математического ожидания не более чем на 100 г.
4. Решить следующие задачи.
4.21. Число телевизоров с плоским экраном составляет в среднем 40 % общего их выпуска. Пользуясь неравенством Чебышева, оценить вероятность того, что в партии из 500 телевизоров доля телевизоров с плоским экраном отклоняется от средней не более чем на 0,06.
1.21. В первой студенческой группе из 24 человек 4 отличника, во второй из 22 – 3 отличника, в третьей из 24 – 6 отличников и в четвертой из 20 – 2 отличника; СВ X – число отличников, приглашенных на конференцию, при условии, что из каждой группы выделили случайным образом по одному человеку.
2. Дана функция распределения F(х) СВ X. Найти плотность распределения вероятностей f(x), математическое ожидание М(X), дисперсию D(X) и вероятность попадания СВ X на отрезок [а; b]. Построить графики функций F(х) и f(x).
3. Решить следующие задачи.
3.21. Производят взвешивание вещества без систематических ошибок. Случайная ошибка взвешивания распределена нормально с математическим ожиданием 20 кг и средним квадратичным отклонением 2 кг. Найти вероятность того, что следующее взвешивание отличается от математического ожидания не более чем на 100 г.
4. Решить следующие задачи.
4.21. Число телевизоров с плоским экраном составляет в среднем 40 % общего их выпуска. Пользуясь неравенством Чебышева, оценить вероятность того, что в партии из 500 телевизоров доля телевизоров с плоским экраном отклоняется от средней не более чем на 0,06.




