1. Найти закон распределения указанной дискретной CB X и ее функцию распределения F(x). Вычислить математическое ожидание M(X), дисперсию D(X) и среднее квадратичное отклонение σ(X). Построить график функции распределения F(x)
1.23. Вероятность того, что деталь с первого автомата удовлетворяет стандарту, равна 0,9, для второго автомата – 0,8, для третьего – 0,7; СВ X – число деталей, удовлетворяющих стандарту, при условии, что с каждого автомата взято наугад по одной детали.
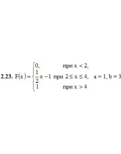
2. Дана функция распределения F(х) СВ X. Найти плотность распределения вероятностей f(x), математическое ожидание М(X), дисперсию D(X) и вероятность попадания СВ X на отрезок [а; b]. Построить графики функций F(х) и f(x).
3. Решить следующие задачи.
3.23. Цена деления шкалы амперметра равна 0,1 А. Показания округляют до ближайшего целого деления. Найти вероятность того, что при отсчете будет сделана ошибка, превышающая 0,04 А.
4. Решить следующие задачи.
4.23. Для определения средней урожайности на участке площадью в 1800 га взято на выборку по 1 м2 с каждого гектара. Известно, что дисперсия урожайности по всему участку не превышает 4,5. Оценить вероятность того, что средняя выборочная урожайность будет отличаться от средней урожайности по всему участку не более чем на 0,25 ц.
1.23. Вероятность того, что деталь с первого автомата удовлетворяет стандарту, равна 0,9, для второго автомата – 0,8, для третьего – 0,7; СВ X – число деталей, удовлетворяющих стандарту, при условии, что с каждого автомата взято наугад по одной детали.
2. Дана функция распределения F(х) СВ X. Найти плотность распределения вероятностей f(x), математическое ожидание М(X), дисперсию D(X) и вероятность попадания СВ X на отрезок [а; b]. Построить графики функций F(х) и f(x).
3. Решить следующие задачи.
3.23. Цена деления шкалы амперметра равна 0,1 А. Показания округляют до ближайшего целого деления. Найти вероятность того, что при отсчете будет сделана ошибка, превышающая 0,04 А.
4. Решить следующие задачи.
4.23. Для определения средней урожайности на участке площадью в 1800 га взято на выборку по 1 м2 с каждого гектара. Известно, что дисперсия урожайности по всему участку не превышает 4,5. Оценить вероятность того, что средняя выборочная урожайность будет отличаться от средней урожайности по всему участку не более чем на 0,25 ц.




