1. Найти закон распределения указанной дискретной CB X и ее функцию распределения F(x). Вычислить математическое ожидание M(X), дисперсию D(X) и среднее квадратичное отклонение σ(X). Построить график функции распределения F(x)
1.3. Вероятность безотказной работы в течение гарантийного срока для телевизоров первого типа равна 0,9, второго типа – 0,7, третьего типа – 0,8; СВ X – число телевизоров, проработавших гарантийный срок, среди трех телевизоров разных типов.
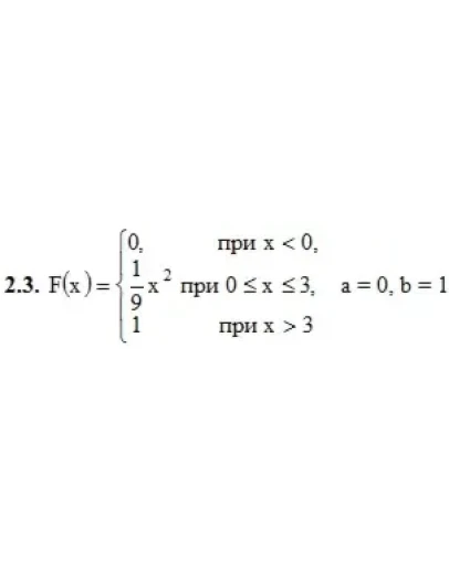
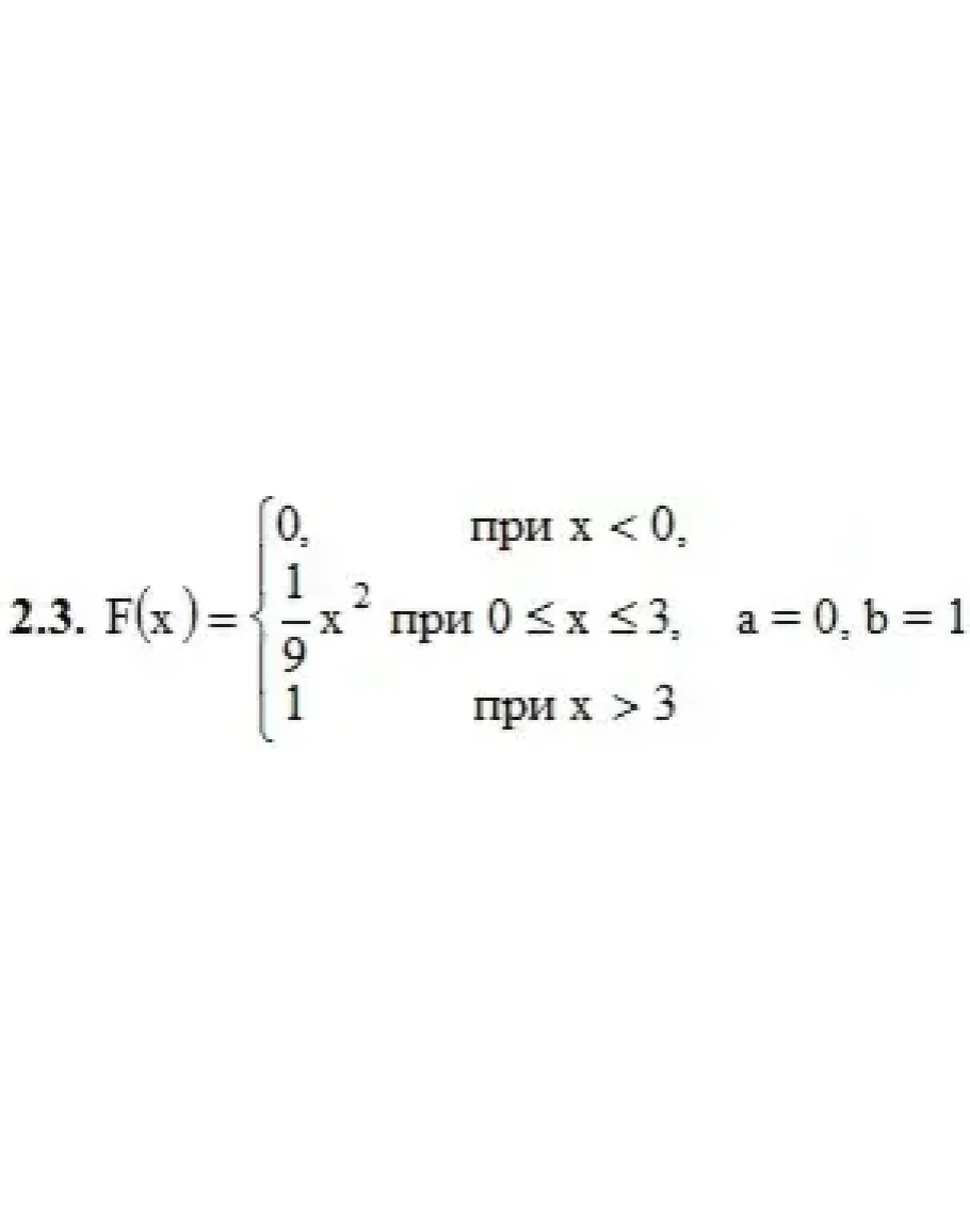
2. Дана функция распределения F(х) СВ X. Найти плотность распределения вероятностей f(x), математическое ожидание М(X), дисперсию D(X) и вероятность попадания СВ X на отрезок [а; b]. Построить графики функций F(х) и f(x).
3. Решить следующие задачи.
3.3. Все значения равномерно распределенной СВ X лежат на отрезке [2; 8]. Найти вероятность попадания СВ Х в промежуток (3; 5).
4. Решить следующие задачи.
4.3. Случайная величина X является средней арифметической 3200 независимых и одинаково распределенных случайных величин с математическим ожиданием, равным 3, и дисперсией, равной 2. Найти вероятность того, что СВ X примет значение из промежутка (2,95; 3,075).
1.3. Вероятность безотказной работы в течение гарантийного срока для телевизоров первого типа равна 0,9, второго типа – 0,7, третьего типа – 0,8; СВ X – число телевизоров, проработавших гарантийный срок, среди трех телевизоров разных типов.
2. Дана функция распределения F(х) СВ X. Найти плотность распределения вероятностей f(x), математическое ожидание М(X), дисперсию D(X) и вероятность попадания СВ X на отрезок [а; b]. Построить графики функций F(х) и f(x).
3. Решить следующие задачи.
3.3. Все значения равномерно распределенной СВ X лежат на отрезке [2; 8]. Найти вероятность попадания СВ Х в промежуток (3; 5).
4. Решить следующие задачи.
4.3. Случайная величина X является средней арифметической 3200 независимых и одинаково распределенных случайных величин с математическим ожиданием, равным 3, и дисперсией, равной 2. Найти вероятность того, что СВ X примет значение из промежутка (2,95; 3,075).




