1. Найти закон распределения указанной дискретной CB X и ее функцию распределения F(x). Вычислить математическое ожидание M(X), дисперсию D(X) и среднее квадратичное отклонение σ(X). Построить график функции распределения F(x)
1.5. Вероятность выпуска прибора, удовлетворяющего требованиям качества, равна 0,9. В контрольной партии – 3 прибора; СВ X – число приборов, удовлетворяющих требованиям качества.
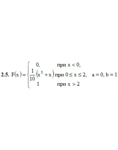
2. Дана функция распределения F(х) СВ X. Найти плотность распределения вероятностей f(x), математическое ожидание М(X), дисперсию D(X) и вероятность попадания СВ X на отрезок [а; b]. Построить графики функций F(х) и f(x).
3. Решить следующие задачи.
3.5. Цена деления шкалы измерительного прибора равна 0,2. Показания прибора округляются до ближайшего целого деления. Считая, что ошибки измерения распределены равномерно, найти вероятность того, что при отсчете будет сделана ошибка, меньшая 0,04.
4. Решить следующие задачи.
4.5. СВ является средним арифметическим независимых и одинаково распределенных случайных величин, дисперсия каждой из которых равна 5. Сколько нужно взять таких величин, чтобы СВ Х с вероятностью, не меньшей 0,9973, отклонялась от своего математического ожидания не более чем на 0,01?
1.5. Вероятность выпуска прибора, удовлетворяющего требованиям качества, равна 0,9. В контрольной партии – 3 прибора; СВ X – число приборов, удовлетворяющих требованиям качества.
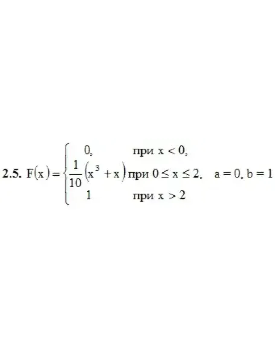
2. Дана функция распределения F(х) СВ X. Найти плотность распределения вероятностей f(x), математическое ожидание М(X), дисперсию D(X) и вероятность попадания СВ X на отрезок [а; b]. Построить графики функций F(х) и f(x).
3. Решить следующие задачи.
3.5. Цена деления шкалы измерительного прибора равна 0,2. Показания прибора округляются до ближайшего целого деления. Считая, что ошибки измерения распределены равномерно, найти вероятность того, что при отсчете будет сделана ошибка, меньшая 0,04.
4. Решить следующие задачи.
4.5. СВ является средним арифметическим независимых и одинаково распределенных случайных величин, дисперсия каждой из которых равна 5. Сколько нужно взять таких величин, чтобы СВ Х с вероятностью, не меньшей 0,9973, отклонялась от своего математического ожидания не более чем на 0,01?




