1. Найти закон распределения указанной дискретной CB X и ее функцию распределения F(x). Вычислить математическое ожидание M(X), дисперсию D(X) и среднее квадратичное отклонение σ(X). Построить график функции распределения F(x)
1.6. Вероятность перевыполнения плана для СУ-1 равна 0,9, для СУ-2 – 0,8, для СУ-3 – 0,7; СВ X – число СУ, перевыполнивших план.
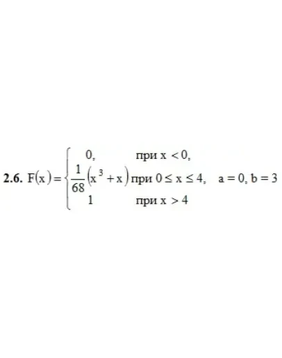
2. Дана функция распределения F(х) СВ X. Найти плотность распределения вероятностей f(x), математическое ожидание М(X), дисперсию D(X) и вероятность попадания СВ X на отрезок [а; b]. Построить графики функций F(х) и f(x).
3. Решить следующие задачи.
3.6. Поток заявок, поступающих на телефонную станцию, представляет собой простейший пуассоновский поток. Математическое ожидание числа вызовов за 1 ч равно 30. Найти вероятность того, что за 1 мин поступит не менее двух вызовов.
4. Решить следующие задачи.
4.6. СВ X является средним арифметическим 10000 независимых одинаково распределенных случайных величин, среднее квадратичное отклонение каждой из которых равно 2. Какое максимальное отклонение СВ X от ее математического ожидания можно ожидать с вероятностью, не меньшей 0,9544?
1.6. Вероятность перевыполнения плана для СУ-1 равна 0,9, для СУ-2 – 0,8, для СУ-3 – 0,7; СВ X – число СУ, перевыполнивших план.
2. Дана функция распределения F(х) СВ X. Найти плотность распределения вероятностей f(x), математическое ожидание М(X), дисперсию D(X) и вероятность попадания СВ X на отрезок [а; b]. Построить графики функций F(х) и f(x).
3. Решить следующие задачи.
3.6. Поток заявок, поступающих на телефонную станцию, представляет собой простейший пуассоновский поток. Математическое ожидание числа вызовов за 1 ч равно 30. Найти вероятность того, что за 1 мин поступит не менее двух вызовов.
4. Решить следующие задачи.
4.6. СВ X является средним арифметическим 10000 независимых одинаково распределенных случайных величин, среднее квадратичное отклонение каждой из которых равно 2. Какое максимальное отклонение СВ X от ее математического ожидания можно ожидать с вероятностью, не меньшей 0,9544?




