1. Найти закон распределения указанной дискретной CB X и ее функцию распределения F(x). Вычислить математическое ожидание M(X), дисперсию D(X) и среднее квадратичное отклонение σ(X). Построить график функции распределения F(x)
1.8. Вероятность поступления вызова на АТС в течение 1 мин равна 0,4; СВ X— число вызовов, поступивших на АТС за 4 мин.
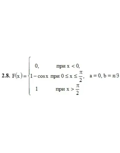
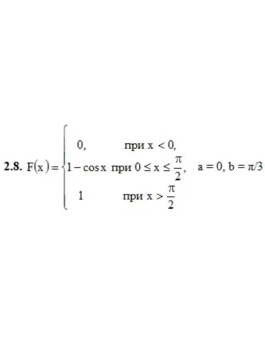
2. Дана функция распределения F(х) СВ X. Найти плотность распределения вероятностей f(x), математическое ожидание М(X), дисперсию D(X) и вероятность попадания СВ X на отрезок [а; b]. Построить графики функций F(х) и f(x).
3. Решить следующие задачи.
3.8. Считается, что изделие – высшего качества, если отклонение его размеров от номинальных не превосходит по абсолютной величине 3,6 мм. Случайные отклонения размера изделия от номинального подчиняются нормальному закону со средним квадратичным отклонением, равным 3 мм. Систематические отклонения отсутствуют. Определить среднее число изделий высшего качества среди 100 изготовленных.
4. Решить следующие задачи.
4.8. Вероятность того, что наугад выбранная деталь окажется бракованной, при каждой проверке одна и та же и равна 0,1. Партия изделий не принимается при обнаружении не менее 10 бракованных изделий. Сколько надо проверить деталей, чтобы с вероятностью 0,6 можно было утверждать, что партия, имеющая 10 % брака, не будет принята?
1.8. Вероятность поступления вызова на АТС в течение 1 мин равна 0,4; СВ X— число вызовов, поступивших на АТС за 4 мин.
2. Дана функция распределения F(х) СВ X. Найти плотность распределения вероятностей f(x), математическое ожидание М(X), дисперсию D(X) и вероятность попадания СВ X на отрезок [а; b]. Построить графики функций F(х) и f(x).
3. Решить следующие задачи.
3.8. Считается, что изделие – высшего качества, если отклонение его размеров от номинальных не превосходит по абсолютной величине 3,6 мм. Случайные отклонения размера изделия от номинального подчиняются нормальному закону со средним квадратичным отклонением, равным 3 мм. Систематические отклонения отсутствуют. Определить среднее число изделий высшего качества среди 100 изготовленных.
4. Решить следующие задачи.
4.8. Вероятность того, что наугад выбранная деталь окажется бракованной, при каждой проверке одна и та же и равна 0,1. Партия изделий не принимается при обнаружении не менее 10 бракованных изделий. Сколько надо проверить деталей, чтобы с вероятностью 0,6 можно было утверждать, что партия, имеющая 10 % брака, не будет принята?




